SABCS 2023丨孙正魁教授:大分子有大前途,ADC引领HER2阳性乳腺癌脑转移潮流

作者:肿瘤瞭望   日期:2023/12/22 13:37:29  浏览量:9904

肿瘤瞭望版权所有,谢绝任何形式转载,侵犯版权者必予法律追究。

长期以来,乳腺癌脑转移是医生和患者面对的严峻挑战,血脑屏障的存在使系统治疗选择十分有限。抗体偶联药物(ADC)的出现为脑转移患者带来了转机,并迅速写入国内外指南推荐。2023年圣安东尼奥乳腺癌年会(SABCS)再掀ADC治疗脑转移治疗热潮,为临床带来更多可能。江西省肿瘤医院孙正魁教授特别整理大会重磅研究如下,以飨读者。

编者按:长期以来,乳腺癌脑转移是医生和患者面对的严峻挑战,血脑屏障的存在使系统治疗选择十分有限。抗体偶联药物(ADC)的出现为脑转移患者带来了转机,并迅速写入国内外指南推荐。2023年圣安东尼奥乳腺癌年会(SABCS)再掀ADC治疗脑转移治疗热潮,为临床带来更多可能。江西省肿瘤医院孙正魁教授特别整理大会重磅研究如下,以飨读者。
 
岌岌可危:HER2阳性乳腺癌脑转移治疗现状
 
乳腺癌已是我国乃至全球威胁女性生命健康的首位恶性肿瘤,全球年新发病例高达230万例[1],其中HER2阳性乳腺癌约占15%-20%[2]。相较于其他乳腺癌亚型,HER2阳性乳腺癌发生脑转移(BM),约有50%的患者可能发展为脑转移[3]。乳腺癌脑转移包括脑实质转移和脑膜转移(LMC),二者中位生存期(OS)分别为3-23个月和3-4个月[4-5]。伴随着抗HER2治疗长足发展,HER2阳性乳腺癌患者的生存期得到极大延长,脑转移的发生率也随之水涨船高。由于血脑屏障(BBB)的存在,系统治疗药物不易达到脑转移病灶;BBB的外排转运蛋白系统也会逆向转运并阻止药物进入中枢神经系统(CNS);加之颅内转移灶的HER2蛋白状况与原发灶可能不一致,肿瘤微环境可能截然不同,故而乳腺癌脑转移的系统治疗疗效并不理想。
 
乳腺癌脑转移的靶向治疗[6]
 
当前乳腺癌脑转移的治疗以多学科诊疗为主,对于活动性脑转移患者,应优先予以局部治疗控制疾病进展,再考虑后续的综合治疗策略;对于稳定性脑转移患者,则可优先考虑系统治疗控制疾病。针对HER2阳性乳腺癌脑转移的治疗,《中国临床肿瘤学会(CSCO)乳腺癌诊疗指南2023》(《CSCO BC指南》)建议对有限病灶数目患者推荐放疗,若局部症状可控的HER2阳性患者,则可首先考虑抗HER2治疗(2A);对弥散性脑转移患者,推荐全脑放疗(1A)或抗HER2药物治疗(2A);对脑膜转移患者,则推荐放射治疗或鞘内注射[7]。目前研究者对于BBB与抗癌药物之间的影响认识尚不充分,既往多以抗HER2的小分子酪氨酸激酶抑制(TKI)为主,如今大分子单抗、ADC等初步显示疗效,可能与肿瘤脑转移部分破坏BBB有关,但仍需进一步探索。
 
砺砺前行:ADC谱写乳腺癌脑转移多样未来
 
2023年SABCS会议中,ADC药物在HER2阳性乳腺癌脑转移的应用进展为未来带来了更多可能。约有10%的乳腺癌患者会发生脑膜转移[8],我国指南目前仅推荐了鞘内注射,治疗手段极为有限,预后较差。DEBBRAH研究[9]公布了其队列5的研究结果。该研究是一项单臂、开放标签、5个队列的II期研究。对纳入的39例18岁及以上、经过多线治疗的HER2阳性或HER2低表达、稳定或活动性的,初治或经治的BM和/或LMC患者予以德曲妥珠单抗(T-DXd)治疗。队列5则主要针对HER2阳性及HER2低表达晚期乳腺癌脑膜转移患者。
 
DEBBRAH研究设计
 
目前队列5共纳入7例患者,中位年龄为57岁(42岁-69岁),3例(42.9%)患者为HER2阳性,既往中位治疗线数为4线(1-8线)。中位随访12个月显示,mOS为13.3个月(95%CI,2.5-NA,P<0.001),达到主要终点;中位无进展生存期(PFS)为8.9个月(95%CI,2.1-NR);2例疾病稳定(SD)超过24周且仍在治疗,其中1例实现完全颅内缓解,5例进展(PD)的患者均非颅内进展。安全性方面常见不良事件(AE)为恶心、疲劳、呕吐等,仅1名患者出现3级治疗相关不良事件(3级恶心),未见间质性肺病(ILD)/肺炎。该队列样本有限,但仍表现出T-DXd对初治HER2阳性和HER2低表达乳腺癌脑膜转移的疗效,且无新的安全信号,值得进一步扩大队列探索验证。
 
DEBBRAH研究OS与PFS
 
ROSET-BM研究[10]一项多中心、回顾性病例研究,评估了伴脑转移/脑膜转移HER2阳性乳腺癌使用T-DXd的治疗效果。本次SABCS对该研究OS数据予以更新。研究纳入日本62家中心104例经局部治疗或未经治的稳定性脑转移患者、有症状脑转移患者、脑膜转移患者予以分析,中位治疗线序为4线(3-7线),30.8%为有症状脑转移,16.3%为活动性脑转移伴脑膜转移,1.9%为脑膜转移。最新更新的中位随访20.4个月数据显示,mOS未达到(20.6-NE个月),1年OS率为74.8%,2年OS率为56.0%,其中活动性脑转移mOS为27.0个月,稳定性脑转移mOS未达到(10.8-NE个月),脑膜转移mOS未达到(13.6-NE个月),各亚组患者获益一致。mPFS为14.6个月,中位到治疗失败时间(TTF)为9.3个月。23.1%的患者因ILD治疗中断,其中3级及以上ILD为7例(6.7%),未见ILD相关死亡。
 
ROSET-BM研究结果
 
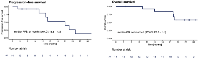
在伴活动性脑转移HER2阳性乳腺癌方面,备受关注的前瞻性、单中心、单臂的II期TUXEDO-1研究[11]公布了最终结果。研究入组了15例新诊断或接受过局部治疗后进展的脑转移患者并予以T-DXd治疗。患者中位年龄69岁(30-76岁),80%为HER2+/Luminal B型,20%为HER2+/非Luminal B型,既往均接受过“曲帕双靶”治疗,60%接受过恩美曲妥珠单抗(T-DM1)治疗,26.7%的患者接受过拉帕替尼治疗,前序中位治疗线序为2线(1-5线)。中位随访26.5个月显示,mPFS为21个月(13.3-NE个月),mOS未达到(22.2-NE个月)。
 
TUXEDO-1研究PFS与OS
 
T-DXd共使用238周期,中位使用11.5周期,未发现新的安全信号,最常见的AE为疲劳(20%),仅1例出现2级ILD。患者生活质量(QoL)以及神经认知功能在整个治疗期间得以维持。生物标志物分析显示,疾病进展时血清S100水平升高(P=0.02),而血清NSE水平保持稳定。该研究再次证实了T-DXd对伴活动性脑转移的HER2阳性乳腺癌的疾病控制作用以及安全性,并显示了较为理想的生活质量保障,为治疗脑转移丰富了循证证据。
 
血清S100以及血清NSE水平变化
 
在ADC对脑转移不断突破的基础上,TKI联合ADC也带来新的选择。随机、双盲、Ⅲ期HER2CLIMB-02研究[12]对比了图卡替尼联合T-DM1与安慰剂联合T-DM1治疗伴脑转移乳腺癌患者的效果。研究入组了曲妥珠单抗和紫杉醇治疗进展的脑转移或脑膜转移HER2乳腺癌患者,包括经治后稳定、进展或未经治的,且无需立即接受局部治疗的脑转移患者,分别予以图卡替尼+T-DM1(N=288)和安慰剂+T-DM1(N=235)。两组患者中位年龄为55岁和53岁,均有约60%的患者为激素受体阳性,中位前序治疗线序均为1线,约90%接受过帕妥珠单抗治疗,少量患者接受过抗HER2 TKI治疗。
 
HER2CLIMB-02研究设计
 
图卡替尼+T-DM1组和安慰剂+T-DM1组脑转移患者分别有99例和105例,包括活动性脑转移和稳定性脑转移。结果显示,图卡替尼+T-DM1组较安慰剂+T-DM1组可改善总人群mPFS(9.5 vs.7.4个月,HR=0.76,P=0.0163)和脑转移患者mPFS(7.8 vs.5.7个月,HR 0.64),对于脑转移患者的OS尚不成熟。安全性方面,最常见的TEAE(≥20%),为恶心、腹泻、虚弱、肝毒性等。本研究初步证实了ADC联合TKI对乳腺癌脑转移的疗效改善,同样值得进一步探索。
 
HER2CLIMB-02研究脑转移人群PFS
 
综上可见,乳腺癌脑转移发病人群众多,预后较差,为患者带来了严重威胁。由于BBB的存在,传统的治疗方式疗效不佳,大分子药物有潜在的可能会被拒之门外。ADC的应用打破了临床的传统认知,T-DXd等新型ADC药物陆续展现出对患者脑转移病灶的改善,为临床带来了更多选择。2023年SABCS在ADC治疗伴脑转移HER2阳性乳腺癌的一系列进展为未来进一步深入探索打下了基础,势必将引领最新研究热潮。
 
参考文献:
 
1.Sung H,Ferlay J,Siegel RL,Laversanne M,Soerjomataram I,Jemal A,et al.Global cancer statistics 2020:Globocan estimates of incidence and mortality worldwide for 36 cancers in 185 countries.CA:Cancer J Clin(2021)71(3):209–49.
 
2.Wolff AC,Hammond ME,Hicks DG,et al.Recommendations for human epidermal growth factor receptor 2 testing in breast cancer:American Society of Clinical Oncology/College of American Pathologists clinical practice guideline update.J Clin Oncol.2013;31(31):3997–4013.
 
3.Epidemiology,clinical outcomes,and unmet needs of patients with human epidermal growth factor receptor 2-positive breast cancer and brain metastases:A systematic literature review.Cancer Treat Rev.2023 Apr;115:102527.
 
4.Achrol AS,Rennert RC,Anders C,Soffietti R,Ahluwalia MS,Nayak L,et al..Brain metastases.Nat Rev Dis Primers(2019)5(1):1–26.
 
5.Le Rhun E,Preusser M,van den Bent M,Andratschke N,Weller M.How we treat patients with leptomeningeal metastases.ESMO Open(2019)4:e000507.
 
6.Chen Q,Xiong J,Ma Y,Wei J,Liu C,Zhao Y.Systemic treatments for breast cancer brain metastasis.Front Oncol.2023;12:1086821.Published 2023 Jan 6.doi:10.3389/fonc.2022.1086821
 
7.中国临床肿瘤学会指南工作委员会.《中国临床肿瘤学会(CSCO)乳腺癌诊疗指南2023》.人民卫生出版社,2023.
 
8.Alder L,Trapani D,Bradbury C,et al.Durable responses in patients with HER2+breast cancer and leptomeningeal metastases treated with trastuzumab deruxtecan.NPJ Breast Cancer.2023;9(1):19.
 
9.Marta Vaz Batista,et al.Trastuzumab deruxtecan in patients with HER2[+]or HER2-low advanced breast cancer and pathologically confirmed leptomeningeal carcinomatosis:Results from cohort 5 of the DEBBRAH study.2023 SABCS PS 11-05.
 
10.Takashi Yamanaka,et al.Trastuzumab deruxtecan for the treatment of patients with HER2-positive breast cancer with brain and/or leptomeningeal metastases:A multicenter retrospective study(ROSET-BM study).2023 SABCS abstract PO0-04-04.
 
11.Bartsch R,Berghoff AS,Furtner J,et al.Final outcome analysis from the phase II TUXEDO-1 trial of Trastuzumab-Deruxtecan in HER2-positive breast cancer patients with active brain metastases.2023 SABCS PO2-04-05.
 
12.Sara Hurvitz,et al.HER2CLIMB-02:Randomized,double-blind phase 3 trial of tucatinib and trastuzumab emtansine for previously treated HER2-positive metastatic breast cancer.2023 SABCS GS01-10.
 
孙正魁主任医师博士
江西省肿瘤医院乳腺肿瘤外科主任
江西省乳腺肿瘤诊疗中心主任
中国抗癌协会乳腺癌专业委员会委员
中国临床肿瘤协会乳腺癌专业委员会委员
中国老年医学会普通外科专业委员会常委
中国医药教育协会乳腺疾病专业委员会常委
江西省肿瘤质控中心乳腺癌专家委员会主任委员
江西省抗癌协会肿瘤整形外科专业委员会主任委员
 
审批编号:CN-20231221-00012

 

本内容仅供医学专业人士参考


乳腺癌

分享到: 更多