ASH 五分钟丨赵东陆教授快评:新药联合现有治疗大大改善DLBCL治疗结果

作者:  张婧婧   日期:2023/1/9 10:44:44  浏览量:16430

肿瘤瞭望版权所有,谢绝任何形式转载,侵犯版权者必予法律追究。

每一届的美国血液学会(ASH)年会都是精彩纷呈,刚刚落下帷幕的第64届ASH会议中,诸多研究探讨了弥漫大B细胞淋巴瘤(DLBCL)的生物学行为、诊断与治疗。

编者按:每一届的美国血液学会(ASH)年会都是精彩纷呈,刚刚落下帷幕的第64届ASH会议中,诸多研究探讨了弥漫大B细胞淋巴瘤(DLBCL)的生物学行为、诊断与治疗。本次《肿瘤瞭望》特别邀请哈尔滨血液病肿瘤研究所的赵东陆教授分享其中三项研究,分别探讨了Glofitamab+R-CHOP一线治疗、RB-CHOP一线治疗DLBCL的亚组分析以及CD79b ADC联合R-ICE二线治疗DLBCL的疗效和安全性。

研究一:abstract 737
Glofitamab+R-CHOP一线治疗DLBCL,疗效高安全性好
 
研究背景
 
R-CHOP是初治DLBCL的标准治疗,但超过三分之一DLBCL患者无法治愈,因此需要更有效的新的一线联合治疗。Glofitamab是双特异性单克隆抗体,以新的2:1(CD20:CD3)构象连接CD20×CD3 T细胞,因此可以高亲和力二价结合于B细胞表面的CD20(不同于传统的1:1双特异性抗体,只能单价结合于CD20)。这种二价结合也能与抗CD20抗体(包括利妥昔单抗)联合进行治疗。Glofitamab单药对接受过多线治疗和/或高度难治的DLBCL有很高的治疗活性(Dickinson等,ASCO 2022)。
 
NP40126研究(NCT03467373)安全性导入期的初步结果表明,glofitamab(Glofit)+R-CHOP一线治疗DLBCL,安全性可耐受(Ghosh等,ASH 2021)。以下报告了NP40126研究安全性导入期和扩展期的疗效和安全性数据。
 
研究方法
 
患者在周期(C)1接受R-CHOP治疗,目的是减少肿瘤负荷以减轻肿瘤细胞因子释放综合征(CRS)风险。共进行6-8周期R-CHOP治疗(21天1周期)。
 
Glofitamab静脉注射,C2期间开始(第8天,2.5mg;第15天,10mg),从C3开始第8天给予目标剂量30mg(21天1周期)。对于扩展期患者,由研究者决定患者是否住院。
 
根据Lugano标准,PET-CT评估治疗反应(Cheson等,J Clin Oncol 2014)。数据截止时,按照计划能够结束治疗的患者视为可评估疗效人群(EOT人群)。使用ASTCT标准对CRS事件进行分级(Lee等,Biol Blood Marrow Transplant 2019),使用CTCAE对其他不良事件(AEs)进行分级。
 
研究结果
 
数据截止时(2022年5月25日),招募了56例患者(安全性研究人群),其中46例按照计划能够达到EOT评估(EOT人群)。EOT人群中有2例患者在接受glofitamab治疗前退出研究(与C1D1利妥昔单抗相关的5级输注相关反应[IRR];R-CHOP后的4级血栓),最终暴露于glofitamab 30mg+R-CHOP的患者总数为44。中位年龄68岁(21-84岁),54例(96.4%)为Ann Arbor III/IV期。EOT人群的中位IPI评分为3(IPI 1为2.2%[1/46],IPI 2为30.4%[14/46],IPI 3为34.8%[16/46],IPI 4为28.3%[13/46],IPI 5为4.3%[2/46])。
 
中位随访5.6个月(5.1-10.3),EOT人群(BOR)的完全代谢缓解率76.1%(35/46),总缓解率93.5%(43/46)。
 
56例安全性研究患者中,40例发生≥3级AEs(71.4%),13例(23.2%)发生与glofitamab相关的≥3级AEs。18例(32.1%)患者报告了严重不良AEs(SAEs),5例(8.9%)是与glofitamab相关的SAEs,3例患者(5.4%)报告了5级AEs(新冠肺炎,n=2;利妥昔单抗的IRR,n=1),11例患者(19.6%)因AEs导致glofitamab剂量调整/中断,包括COVID-19肺炎(n=3)和COVID-19感染(n=2)。所有R-CHOP组成的中位剂量强度为100%。1例导致glofitamab停用的AE(脑血管意外,认为与glofitamab无关)。
 
无患者发生3-5级CRS事件,6例(10.7%)发生1-2-级CRS:1级,n=4;2级,n=2。所有CRS事件都发生在C2-3期间,可缓解。22例(39.3%)患者发生神经AEs(NAEs)(多数≤2级[20/22]),3级NAEs包括脑血管意外(n=1)和带状疱疹(n=2)。无glofitamab相关NAEs与免疫效应细胞相关神经毒性综合征可能相关。27例(48.2%)患者发生中性粒细胞减少(3级,n=6;4级,n=19),严重感染9例(16.1%)。
 
结论
 
这项研究显示,glofitamab+R-CHOP治疗CRS发生率以及严重程度均低,毒性小,疗效好,表明glofitamab可以安全地与R-CHOP联合一线治疗DLBCL。所有患者均可保持R-CHOP的剂量强度,而且Glofit+R-CHOP可能适合门诊治疗。
 
 
专家点评
 
赵东陆教授:DLBCL是发病率最高的淋巴瘤亚型,约占B细胞淋巴瘤一半,因此DLBCL一直都是人们关注的焦点和热点,也是研究的热点。很多研究聚焦于DLBCL,旨在进一步提高一线治疗的缓解率、PFS和OS,努力改善复发难治DLBCL二线治疗的缓解率,尽可能延长生存。2021ASH会议上发表了一项重磅研究,Pola首开先河,联合R-CHP治疗首次撼动了R-CHOP的治疗金标准地位,改善了DLBCL患者的PFS,OS数据尚不成熟。
 
我们一直探索在DLBCL一线治疗方案中,通过增加X改善患者的缓解率,甚至提高患者的长期生存。2022ASH会议上报道了双抗Glofitamab联合R-CHOP治疗初治DLBCL的临床研究,这项Ib期研究的早期数据显示疗效和安全性良好。本次会议报道的是探索期和扩展期的有效性和安全性数据。结果显示,可评估患者中,达到PET-CT完全代谢缓解的患者为76%,总的缓解率达到93.5%,这是令人瞩目的缓解率。关于不良反应,所有患者没有因为Glofitamab的加入导致R-CHOP剂量减低,均维持了R-CHOP的剂量强度,Glofitamab相关的≥3级不良反应发生率只有23.2%,说明Glofitamab的加入提高了疗效,同时没有降低整体治疗强度,也未明显增加不良反应发生率。不良反应中大家较为关注的如CRS的发生率也比较低,级别较低。因此目前数据显示,Glofitamab加入可以安全有效的提高DLBCL患者一线治疗的有效率。当然这项研究随访时间尚短,只有5.6个月,PFS和OS数据仍不成熟,而且研究仍处于早期阶段,需要更多数据支持现有结果。但是这是一项非常值得期待的临床研究,期待着该治疗能进一步改善DLBCL患者的一线治疗结果。
 
研究一:abstract 735
Remodl-B研究:RB-CHOP可改善部分DLBCL分子亚型患者生存
 
研究背景
 
REMoDL-B研究(ISRCTN 51837425)比较了弥漫大B细胞淋巴瘤(DLBCL)患者R-CHOP和R-CHOP+硼替佐米(RB-CHOP)治疗,分层因素是基因表达谱(GEP)确定的细胞起源(COO)。中位随访30个月进行了首次分析,发现二个治疗组的无进展生存(PFS)或总生存(OS)无总体差异。回顾性分析时采用以基因表达为基础的分类器发现了具有不同分子特征的分子高等级亚型(MHG)。本文报告了REMoDL-B研究中活化B细胞(ABC)、生发中心B细胞(GCB)或MHG淋巴瘤患者的更新结果。
 
研究方法
 
REMoDL-B是一项开放式随机3期适应性研究,患者来自英国和瑞士。纳入条件包括初治,组织学证实为DLBCL I-IV期,>18岁,ECOG PS≤2,心脏、肺、肾和肝功能足以耐受全剂量化疗。初始活检标本足够进行GEP分析的患者随机分入R-CHOP和RB-CHOP组,分层因素包括国际预后指数(IPI)和COO。随机时采用DLBCL自动分类器对COO分类,回顾性重新评估时加用MHG分类器。使用Kaplan-Meier方法和cox回归模型进行事件时间分析。REMoDL-B研究与南安普敦临床研究部协作,由Janssen Cilag资助,经独立同行评审(C328/A12128)后由英国癌症研究所批准。
 
研究结果
 
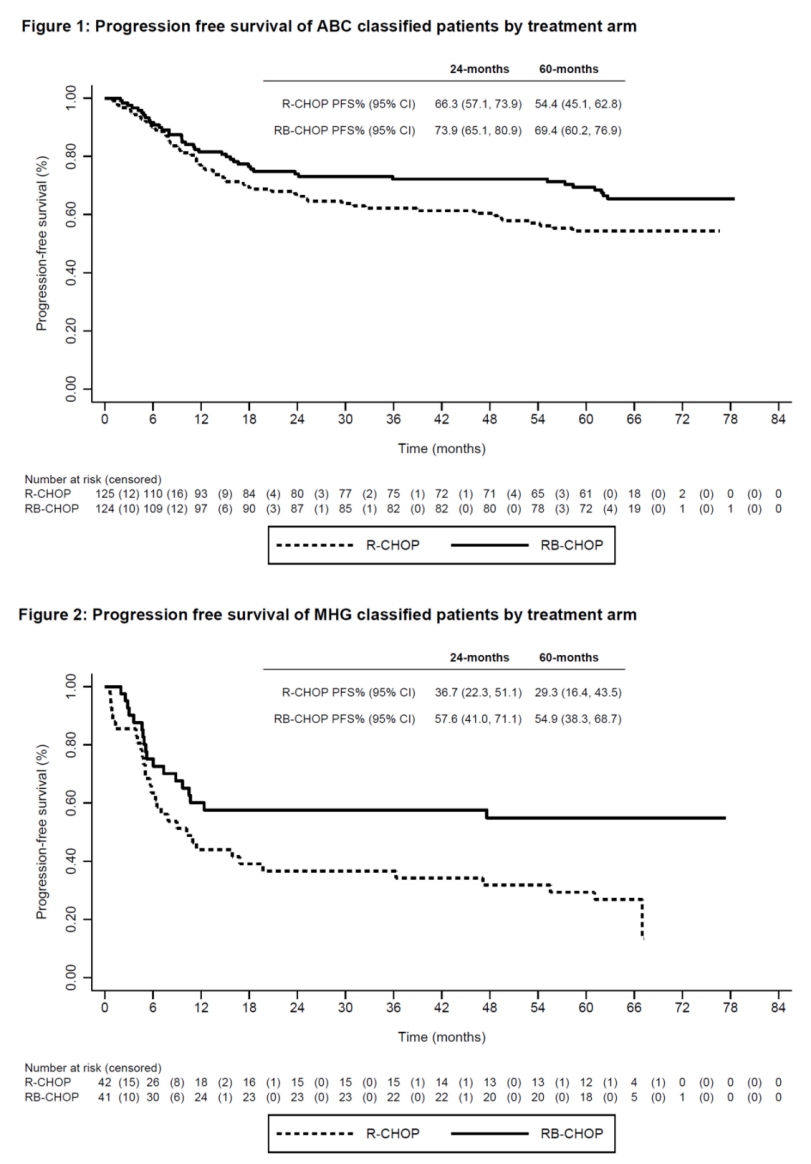
共1077例登记患者,其中801例在最终分析时确定为ABC、GCB或MHG亚型,128例未分类,148例诊断活检标本不足。中位年龄65岁(20-86岁),67%为III/IV期,48%的LDH异常,29%为大包块,17%为高IPI,30%为中高IPI,31%为ABC,59%为GCB,10%为MHG。中位随访64个月,总体上加用硼替佐米并不改善PFS或OS(5年PFS R-CHOP为64%,RB-CHOP为70%,HR 0.81,P=0.085;5年OS为76%和79%,HR 0.86,P=0.32)。但在ABC患者,RB-CHOP改善了PFS和OS,R-CHOP的5年PFS为54%,RB-CHOP为69%(图1);R-CHOP的5年OS为67%,RB-CHOP为80%,OS HR 0.58(95%CI,0.35-0.95),P=0.032。MHG患者的PFS显著改善,R-CHOP的5年PFS为29%,RB-CHOP为55%,HR 0.46(95%CI,0.26-0.84),P=0.011(图2);5年OS为48%和60%,HR 0.62(95%CI,0.32-1.20),P=0.156。LymphGen分类结果随后展示。不良事件与既往报告类似,最常见的≥3级事件是血液学毒性,R-CHOP为38%,RB-CHOP为42%。
 
结论
 
基因表达谱可以鉴别DLBCL亚型,某些亚型可能获益于R-CHOP+硼替佐米治疗,特别是ABC和MHG亚型。
 
 
专家点评
 
赵东陆教授:第二项Remodl-B研究采用的治疗方案是在R-CHOP基础上联合硼替佐米一线治疗DLBCL。早期研究报道显示,硼替佐米加入并没有改善DLBCL患者预后,此次ASH会议上报道的是该研究的亚组分析和最终结果,主要是ABC亚组、GCB亚组以及具有高危分子遗传特征亚组的分析结果。现有数据显示,硼替佐米联合R-CHOP方案治疗,全部患者的PFS和OS并未改善,R-CHOP组的5年PFS是64%,硼替佐米联合治疗组是70%,p值无显著差异,OS也没有显著差异,分别是76%和79%,表明这项研究是阴性结果。
 
但亚组分析显示出一些具有提示意义的结果。我们知道,ABC亚组患者R-CHOP治疗结果并不是特别理想,但是这项研究显示,ABC亚组患者接受硼替佐米联合治疗可以改善PFS和OS,R-CHOP组的ABC患者的5年PFS是54%,OS是67%,硼替佐米联合治疗组的5年PFS达到69%,OS达到80%,说明硼替佐米联合R-CHOP可以使预后不良的ABC亚组患者的PFS和OS改善。此外,对于具有高危遗传学特征的DLBCL患者,硼替佐米联合治疗也可改善PFS和OS,R-CHOP组的5年PFS只有29%,OS只有48%,硼替佐米联合治疗使得这些高危患者的5年PFS提高到55%,OS提高到60%。虽然这项研究未显示硼替佐米联合治疗可使整体DLBCL患者的PFS和OS改善,但对于高危患者,如ABC亚型和具有高危遗传学特征的DLBCL患者,硼替佐米联合R-CHOP作为一线治疗,这些患者有获益。关于不良反应,硼替佐米联合治疗组发生率略高,但并没有显著差异,对于可以较好耐受硼替佐米的患者,硼替佐米联合治疗是一个较好的治疗选择,可以改善患者的PFS和OS。
 
研究一:abstract 442
PolaR-ICE二线治疗RR DLBCL,ORR和CR率均高,安全性可耐受
 
研究背景
 
一线治疗后>1年复发的复发/难治(RR)弥漫大B细胞淋巴瘤(DLBCL)的标准治疗是,经过选择的化疗敏感的患者挽救性化学免疫治疗,然后自体干细胞移植(ASCT)。经过含利妥昔单抗的以蒽环类药物为基础的一线治疗后,含铂化学免疫治疗对RR DLBCL的缓解率并不理想,因此需要更有效的挽救治疗。维博妥珠单抗(Pola)是靶向CD79b的抗体-药物耦合物,与化疗联合一线治疗或≥二线治疗复发不适合移植的DLBCL安全有效[Tilly等,NEJM 2022;Sehn等,JCO 2020]。以下报告的这项多中心2期研究,评估了Pola+利妥昔单抗+异环磷酰胺+卡铂+依托泊苷(PolaR-ICE)二线治疗RR DLBCL的安全性和疗效。
 
研究方法
 
适合移植的成人患者,ECOG≤2,一线治疗接受的是靶向CD20药物联合蒽环类药物的化学免疫治疗,复发后活检证实为RR DLBCL。DLBCL,NOS、转化的惰性淋巴瘤、原发纵隔大B细胞淋巴瘤、高级别B细胞淋巴瘤(HGBCL),NOS、MYC和BCL2重排HGBCL均符合纳入条件。中枢神经系统淋巴瘤、周围神经病变(PN)≥2级、因RR DLBCL曾接受过治疗的患者排除研究。患者接受PolaR-ICE治疗:1.8mg/kg Pola d1,利妥昔单抗375mg/m2 d1,依托泊苷100mg/m2 IV d1-3,卡铂AUC 5(750mg max)IV d2,异环磷酰胺IV 5000mg/m2 d2(住院)或分为d1-3(门诊),21天1周期,共2个周期,然后进行PET-CT,G-CSF预防为强制性。CR患者直接进行ASCT或由研究者决定接受第3周期PolaR-ICE治疗,部分缓解(PR)[或疾病稳定,MD决定]患者接受第3周期PolaR-ICE治疗。ASCT后,毒性恢复且持续缓解患者接受Pola(1.8mg/kg)巩固治疗,21天1周期,从d+30-60开始,累积6剂Pola。根据IQ rolling 6设计,安全性导入期招募至多8例患者,Pola剂量减量(1.4mg/kg)。导入期后,采用两阶段设计,招募20例患者(包括导入期患者),达到8+CR时研究继续招募至总计40例患者。共同主要终点是安全性和根据2014 Lugano分类确定的CR率。ORR、PFS和总生存是次要终点。
 
研究结果
 
招募41例患者,基线特征如表1所示。37例患者可评估治疗反应:1例在反应评估前死亡,1例治疗反应不可评估并被替换,1例临床疾病进展(PD),ORR评估中作为PD,1例尚未达反应评估时间。40例患者有毒性数据,22例接受3个周期的PolaR-ICE治疗,16例接受2个周期治疗,2例接受1个周期治疗。38例患者(37例可评估+1例临床PD)中,35例在PolaR-ICE治疗2个周期后有客观缓解,ORR为92%,21例(55%)为CR,14例(37%)为PR,1例疾病稳定,2例为PD。挽救治疗(PolaR-ICE×2或3)结束时ORR为89%,CR率61%(1例PR转为PD,2例PR在第3个周期后转为CR)。目前为止,21例患者接受了ASCT治疗,13例接受了Pola巩固治疗。与PolaR-ICE相关的最常见的治疗紧急不良事件(TEAE)为贫血(78%)、恶心(70%)、血小板减少(70%)、白细胞减少(50%)、疲劳(48%)、中性粒细胞减少(48%)、淋巴细胞减少(38%)、便秘(35%)、高血压(30%)和低磷血症(28%)。最常见的≥3级TEAEs为贫血(43%)、血小板减少(43%)和中性粒细胞减少(43%),其他非血液学TEAEs均不超过2例(5%)。1例患者因4级血细胞减少、2级恶心而减少Pola剂量。3例患者发生≥3级(8%)感染/发热性中性粒细胞减少/败血症。1例患者发生治疗相关的5级AE败血症。10例(25%)患者发生PN,除1例2级事件外,余均为1级。
 
结论
 
PolaR-ICE具有较高的ORR和CR率,安全性与RICE相似,没有因Pola而增加毒性。需要更长随访评估ASCT/Pola巩固治疗的缓解持久性和其他结果。
 
 
专家点评
 
赵东陆教授:实际上人们对于复发难治DLBCL治疗的关注度更高。近年随着新药的涌入,DLBCL二线治疗疗效显著改善,特别是CAR-T细胞的引入,早期复发和原发耐药患者取得显著疗效,结果优于传统二线化疗联合自体移植方案。但是数据显示,如果复发难治DLBCL二线化疗敏感,取得≥PR疗效,接受自体移植的PFS和OS优于CAR-T细胞治疗。因此人们一直在尝试通过提高二线治疗疗效,提高患者达到深度缓解的比例,从而进一步改善患者的PFS和OS。我个人认为新药在这方面非常值得探索。
 
2022ASH会议上报道了POLA,即CD79b ADC联合R-ICE方案,二线治疗复发难治DLBCL的2期研究,总体有效率达到92%,非常高,我们知道既往二线治疗疗效只有50%左右,CR率达到55%,PR率达到37%,这意味着绝大多数患者都达到了二线治疗后的自体移植标准。挽救性治疗,即Pola联合R-ICE方案2-3个疗程治疗后,CR率进一步提升到61%,其中21例患者接受了自体造血干细胞移植治疗,13例接受了Pola巩固治疗。
 
从这项研究可以看出,Pola联合R-ICE方案对于大多数患者都可以产生很好的疗效,获得较高的完全缓解率。关于安全性,Pola的加入没有明显增加R-ICE方案的不良反应,与既往报道的R-ICE不良反应数据相似。当然仍需要长期随访以及3期研究数据进一步评估Pola联合R-ICE方案治疗后自体移植以及Pola巩固治疗的长期疗效结果。
 
赵东陆教授
哈尔滨血液病肿瘤研究所
哈尔滨血液病肿瘤研究所所长助理
血液科二病房(淋巴系统疾病)主任
中国临床肿瘤学会(CSCO)副秘书长
CSCO淋巴瘤专家委员会副秘书长
中华医学会血液学分会淋巴细胞疾病学会副组长
国家卫生健康委能力建设和继续教育肿瘤学专家委员会委员
中国抗癌协会血液肿瘤专业委员会委员
中国抗癌协会肿瘤血液病专业委员会委员
CSCO青年专家委员会委员
中国抗癌协会血液肿瘤专业委员会青年委员
中国老年医学会血液学分会恶性淋巴瘤学组委员
中国医药学会血液学分会淋巴瘤学组委员
黑龙江省医学会淋巴瘤分委会委员
黑龙江省医学会血液内科委员会委员
黑龙江省医师协会淋巴瘤骨髓瘤委会常委
黑龙江省医师协会血液内科专业委会委员

 

 

本内容仅供医学专业人士参考


淋巴瘤

分享到: 更多