该项名为ALL-HR-11试验的前瞻性研究对象为15-60岁的Ph阴性高危的青少年和成人ALL患者。至少符合以下一项标准即定义为高危 :年龄在30岁至60岁之间,B细胞前体(BCP)-ALL的白细胞(WBC)计数> 30x109 / L,胸腺T-型> 100x109 / L的 ALL,pro-B-ALL,早期T-ALL或成熟T-ALL,二倍体ALL,具有t(v; 11q23)或KMT2A重排或复杂核型(≥5个无关克隆异常)的ALL。如果患者达到非ALL导致的ECOG评分> 2、BCR-ABL阳性ALL、成熟的B-ALL、混合表型或未分化的AL或淋巴母细胞淋巴瘤,则不符合入组条件。
对于诱导治疗后达到完全缓解(CR)和MRD水平<0.1%的患者,早期巩固治疗包括3个周期的细胞毒性药物治疗,早期巩固治疗后MRD水平<0.01%的患者,继续进行延迟巩固治疗(与早期巩固治疗相同),随后进行标准维持治疗,直至CR达2年。如果两个诱导周期后达到CR的患者,但诱导化疗1结束时MRD≥0.1%,以及早期巩固后MRD≥0.01%的患者,如果有合适的供者被分配到allo-HSCT。
研究从2011年8月到2019年10月共纳入来自西班牙51家医院的348名HR Ph阴性ALL的青少年和成人患者。315/348名患者(91%)达到CR,220/289名患者(76%)诱导后MRD <0.1%。通过意向性治疗,218例患者被分配为化疗组,106例患者被分配为allo-HSCT组。
图1、诱导治疗后分组流程图

图2、Induction-1之后和早期巩固治疗后MRD状态
D + 14表示诱导1的中期,d + 35表示诱导1的结束(第5周左右),C3之后是指早期巩固治疗的第三个周期之后。
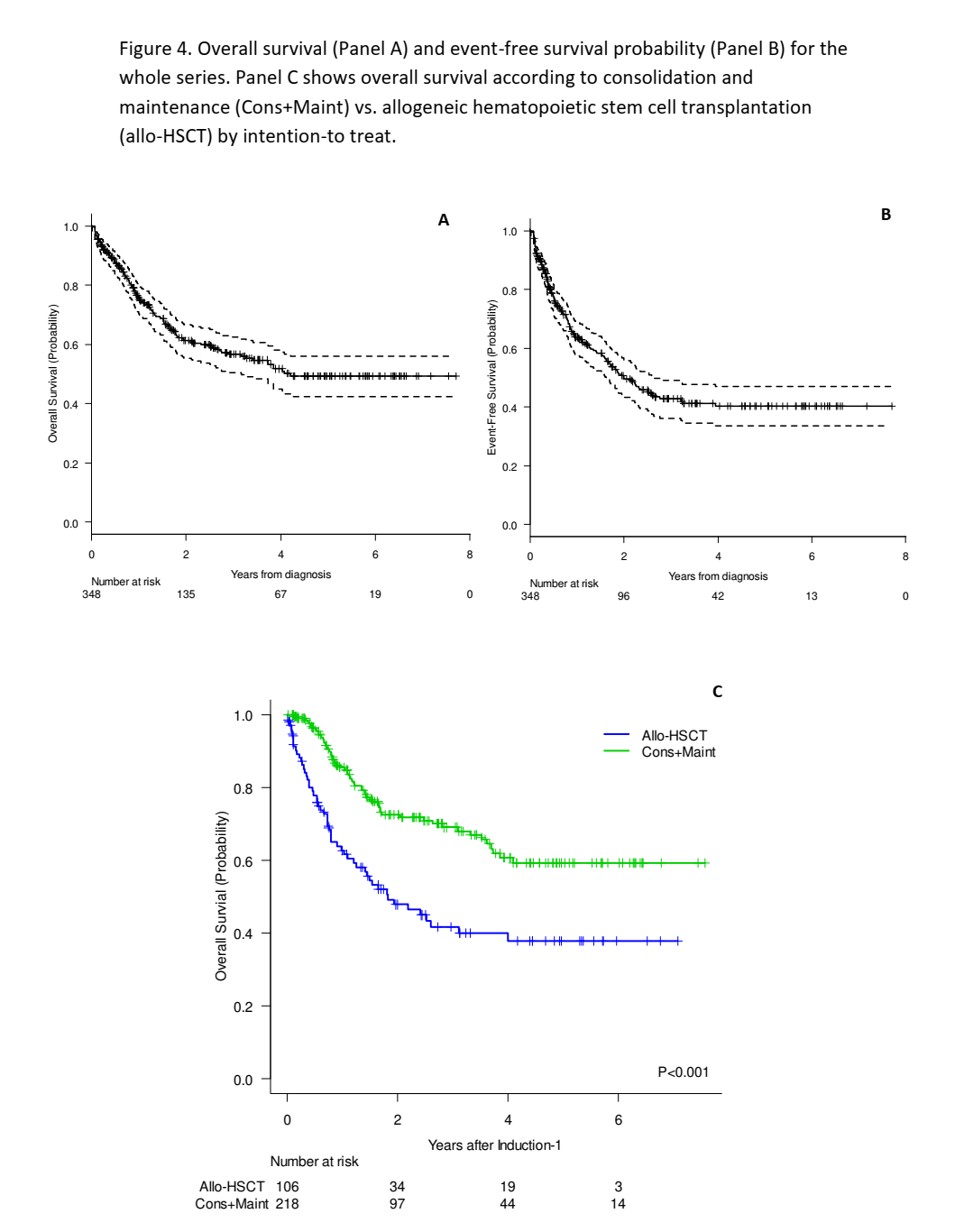
结果显示,5年(±95% CI)累积复发率(CIR),总生存(OS)和无事件生存(EFS)率分别为43%±7%,49%±7%和40%±6%,接受化疗的患者的CIR和OS率分别为45%±8%和59%±9%,而接受allo-HSCT患者的CIR和OS率分别为40%±12%和38%±11%。接受巩固和维持化疗患者的CIR与接受allo-HSCT的患者相比无显著性差异(P=0.430)(图3)。化疗患者的OS显著优于接受allo-HSCT的患者(P?0.001)(图4)。

图3 累积复发率:A 全部患者,B并根据巩固和维持治疗后与allo-HSCT后的比较

图4 A全部患者的总生存率;B全部患者的EFS;C 巩固和维持治疗后与allo-HSCT后的比较
结果表明,年龄<60岁且具有足够的MRD反应的高危、Ph阴性成人ALL患者,不接受allo-HSCT不会影响其诱导和巩固后的结局。而对于MRD清除率较差的患者,需要更好的缓解后替代治疗。
近十年,成人ALL的疗效有了显著的改善。由于儿童或儿童样的方案在青少年及年轻成人(AYA)ALL的应用,使得这部分患者的长期生存率得到了显著的提高。酪氨酸激酶抑制剂加入到Ph阳性ALL的一线治疗中,提高了Ph阳性ALL患者的疗效。此外,抗CD20单克隆抗体的加入,亦使得成熟B细胞ALL的预后也得到了改善。但是对于PhH阴性的ALL而言,诱导化疗及早期巩固治疗后,要根据治疗前预后因素以及关键时间点的MRD水平来决定是否需要进行异基因造血干细胞移植。现有的研究表明,对于诊断时为标危、Ph阴性ALL患者,在诱导治疗结束和/或巩固治疗结束时MRD水平<0.01%,继续接受化疗治疗是优选方案,但对于MRD清除率较差的患者则需行allo-HSCT。
目前,各大指南对于初始治疗前为高危、Ph阴性ALL的治疗推荐多为多药化疗联合allo-HSCT。该研究的结果显示,在诱导治疗后MRD<0.1%和/或早期巩固治疗后MRD<0.01%的高危、Ph阴性ALL患者,继续接受晚期巩固治疗和维持治疗获得了较因未获得较好MRD水平而接受allo-HSCT患者更佳的长期生存率。那些未获得较好MRD水平的患者即使接受了allo-HSCT预后也较差,这部分患者需要更优的巩固治疗的策略。
一项2期研究探索hyper-CVAD序贯联合Blinatumomab一线治疗Ph-ALL患者的研究显示,CR率高达100%,MRD阴性缓解率高达96%,2年RFS和OS分别为79%和86%,且耐受性良好。但值得注意的是,2例具有高危疾病特征的患者接受Blinatumomab治疗前即出现早期复发,因此对治疗方案进行了修改,高危患者在hyper-CVAD治疗2个周期后即开始Blinatumomab治疗。在修改方案后高危患者早期就联合Blinatumomab,降低了高危患者的复发率,提高了高危患者的MRD阴性率。由此可见,如果高危、Ph阴性ALL患者早期联合免疫治疗,有可能达到更深的MRD水平,更长的无进展生存和总生存。
对于化疗后达到MRD阴性,或通过联合免疫治疗后达到MRD阴性的高危PH阴性ALL患者,联合auto-HSCT是一个值得探索的方案。