当前位置:肿瘤瞭望>资讯>正文

诺华NET之声丨神经内分泌肿瘤文献速递与专家点评(16)

作者:肿瘤瞭望   日期:2020/9/11 10:59:06  浏览量:14399

肿瘤瞭望版权所有,谢绝任何形式转载,侵犯版权者必予法律追究。

编者按:本期为诺华NET之声第16期,精选了神经内分泌肿瘤领域5项重要研究论文,包括北京协和医院基本外科赵玉沛院士、吴文铭教授团队在《Gut》杂志发表的神经内分泌肿瘤全基因组测序研究、以及胰腺神经内分泌肿瘤改良AJCC分期系统的探索、依维莫司疗效预测分析、以及PRRT治疗长期疗效及安全性的研究。本期特别邀请了福建医科大学附属协和医院黄鹤光教授,对胰腺神经内分泌肿瘤分期最新研究进行精彩点评。

 

目录

 

 

 

 

预后

 

1、原发性胰腺神经内分泌肿瘤改良AJCC分期系统的建立与验证

 

Development and Validation of a Modified Eighth AJCC Staging System for Primary Pancreatic Neuroendocrine Tumors

 

Ann Surg.  [IF=10.13]

 

用于pNETs的最新的第八版AJCC分期系统的验证存在局限性且饱受争议。发表在《Annals of Surgery》的该研究,建立并验证新的分期系统,旨在提高第八版AJCC分期系统对pNETs预后预测的准确性。

 

该研究将来自SEER数据库(1975-2016年,n=3303)和多机构数据库(2000-2016年,n=825)的数据分别作为建立和验证队列。在保持第八版AJCC中T和M定义不变的基础上,N分期采用最近提出的N0(无淋巴结转移)、N1(1–3 淋巴结转移)和N2(≥ 4 淋巴结转移),并最终提出了新的分期系统。

 

具体而言,该研究发现,第八版TNM分期系统在两个数据库中均未能将I期与IIA期、IIB期与ⅢA期、以及总分期中I期与 II期的患者长期总生存(OS)进行准确区分。根据新提出的mTNM分期标准,SEER数据库(5年OS,I期87.0% vs II期80.3% vs Ⅲ期72.9% vs IV期57.2%,P值均<0.001)和多机构数据集(5年OS,I期97.6% vs II期82.7% vs III期78.4% vs IV期50.0%,P值均<0.05)患者的生存率单调递减。多变量分析显示,mTNM分期与预后密切相关,两组患者的死亡风险随着分期的增加而逐渐递增。

 

综上,采用N0、N1、N2淋巴结转移分期标准的mTNM pNETs临床分期系统比第八版AJCC分期更能准确地将具有不同OS的患者进行分层。

 

表1. PDAC和pNETs的第八版AJCC分期定义,以及改良的第八版AJCC分期定义


点评专家:黄鹤光

福建医科大学附属协和医院


胰腺神经内分泌肿瘤(Pancreatic neuroendocrine neoplasms,PNENs)是源于胰腺神经内分泌细胞,具有神经内分泌标志物、能够产生生物活性胺和/或多肽类激素的一类罕见肿瘤。该肿瘤发病率低但增长迅速,根据美国SEER数据库统计结果,胰腺神经内分泌肿瘤发病率在过去30年中增加了5倍,同其他肿瘤相同需要建立临床分期系统对预后进行有效评估。现有第八版AJCC分期系统对PNENs中淋巴结转移程度仅分为有(N1)和无(N0),对该分法的生存曲线进行分析发现总生存期中I期与IIA期、IIB期与ⅢA期,以及I、II期差异并不显著。本研究发表于权威杂志《Annals of Surgery》,旨在提高临床分期系统对PNENs预后评估的准确性。借助SEER数据库和国内外多中心合作数据库作为开发和验证数据集,借鉴胰腺癌分期系统将淋巴结分为N0(无淋巴结转移),N1(1-3枚局部淋巴结转移)和N2(≥4枚局部淋巴结转移),统计结果显示在SEER数据库(I期87.0%,II期80.3%,III期72.9%,IV期57.2%,P < 0.001)和多中心数据库(I期97.6%,II期82.7%,III期78.4%,IV期,P < 0.05)中5年生存率均表现出显著性差异,该预后评估准确性较前提高,更具有临床指导意义。

 

 

 

2、mTOR通路表达作为接受依维莫司治疗的晚期神经内分泌肿瘤患者的潜在预测性生物标志物

 

mTOR Pathway Expression as Potential Predictive Biomarker in Patients with Advanced Neuroendocrine Tumors Treated with Everolimus

 

Cancers (Basel).  [IF=6.126]

 

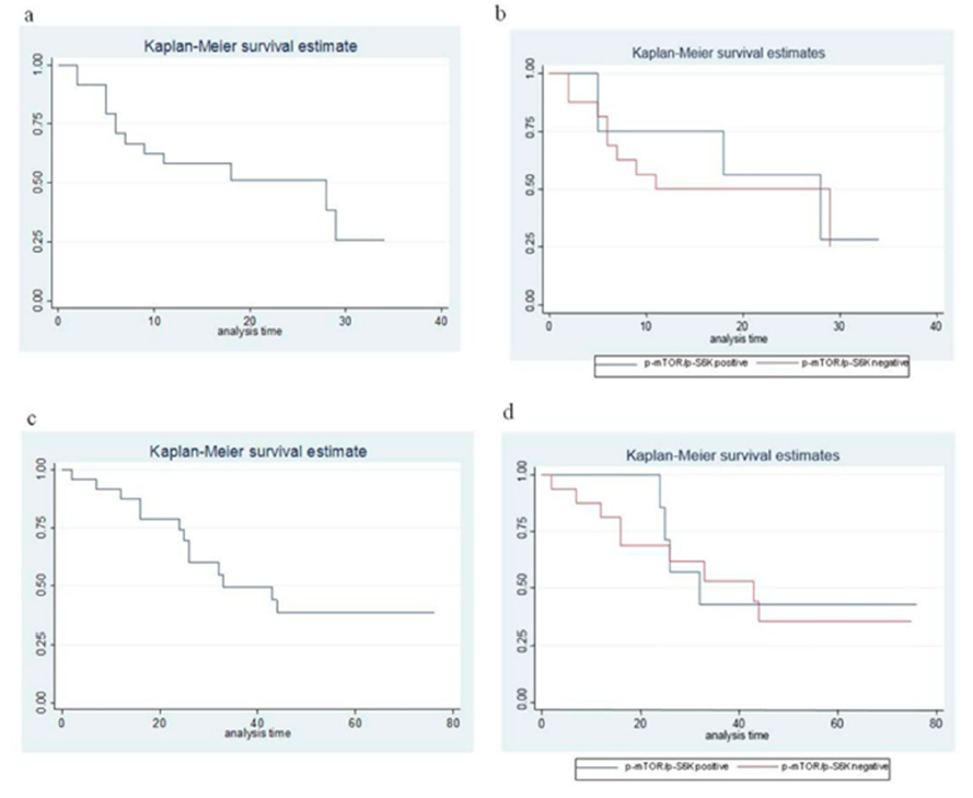
依维莫司(Eve)是一种哺乳动物雷帕霉素靶蛋白(mTOR)抑制剂,可用于治疗神经内分泌肿瘤(NETs)。目前,尚无有效的生物标志物预测Eve在NETs中的疗效。发表在《Cancers》的该研究,旨在探讨mTOR的下游效应器[磷酸化(p)-mTOR和p70S6激酶(S6K)],的表达是否与接受Eve治疗的NET患者的预后相关。

 

该研究通过免疫组化检测接受Eve治疗的NETs患者肿瘤组织标本中p-mTOR和p-S6K的表达水平。分析p-mTOR/p-S6K阳性(第1组)和p-mTOR/p-S6K阴性(第2组)患者的肿瘤缓解率(RR)、无进展生存期(PFS)和总生存期(OS)。进行单因素和多变量Cox回归分析。

 

该研究共纳入24例接受Eve治疗的晚期NETs患者。24例患者中有8例(33.3%)患者的p-mTOR和p-S6K为阳性。与第2组(13个月和32.4个月)相比,第1组的中位PFS和OS(18.2个月和39.9个月)更长,而毒性特征与文献数据相当。

 

该研究表明,mTOR通路激活可以预测接受Eve治疗的NET患者更好的预后。然而,这些结果需要在前瞻性研究中进一步证实。

 

图1. 整个系列(a、c)以及根据p-mTOR/p-S6K的表达(b、d)的无进展生存率和总生存率


基因组学研究

 

3、全基因组测序揭示了胰岛素瘤和非功能性胰腺神经内分泌肿瘤的不同遗传学基础:指引一个新的分类系统

 

Whole-genome sequencing reveals distinct genetic bases for insulinomas and non-functional pancreatic neuroendocrine tumours: leading to a new classification system

 

Gut.  [IF=19.819]

胰岛素瘤和非功能性胰腺神经内分泌肿瘤(NF-pannet)临床表现不同,但病理特征相似。目前尚未有研究对它们的遗传学基础进行全面的比较。北京协和医院基本外科赵玉沛院士、吴文铭教授团队发表在《Gut》的该研究,采用全基因组/全外显子组测序(WGS/WES)来鉴定胰岛素瘤和NF- panNETs之间的基因差异。

 

从北京协和医院和国际癌症基因组联合会提供的WGS/WES数据中获取211例panNETs(84例胰岛素瘤和127例NF-panNETs)的突变谱和拷贝数变异(CNV)模式。根据CNV模式对panNETs进行分类:扩增、拷贝数中性和缺失。胰岛素瘤伴CNV扩增和拷贝数中性,无CNV缺失。CNV中性胰岛素瘤YY1突变率增高。相反,NF-PanNETs兼具三种CNV模式,并且CNV缺失的NF-PanNETs具有较高的肿瘤抑制基因功能缺失突变率。伴CNV改变(扩增和缺失)的NF-PanNETs的复发风险增加,额外的DAXX/ATRX突变可以预测术后2年内复发风险的增加。

 

综上,这些WGS/WES数据可以全面评估胰岛素瘤和NF-PanNETs之间的基因差异,将这些肿瘤重新分类为新的分子亚型。最后,该研究也根据CNV模式和DAXX/ATRX突变提出一个新的复发风险分层系统。

 

图2. 胰岛素瘤的分子亚型。(A)比较Ins中性与Ins-Amp的肿瘤直径。(B)比较Ins中性与Ins-Amp的组织学分级。(C)比较Ins中性和Ins-Amp的YY1突变率。(D) 与mTOR相关基因有关的早期扩增染色体上的扩增事件率。(E) Ins中性、Ins-Amp肿瘤和NF-panNETs的IHC p-S6评分。(F) 显示评分为80、40和0的IHC p-S6染色。*P<0.05。

 

IHC,免疫组化;Ins-Amp,胰岛素瘤扩增亚型;Ins -Neutral,胰岛素瘤中性亚型;NF-PanNET,非功能性胰腺神经内分泌肿瘤;NS,不显著


4、神经内分泌肿瘤基于血液的二代测序分析

 

Blood-based next-generation sequencing analysis of neuroendocrineneoplasms

 

Oncotarget.  [IF=NA]

 

神经内分泌肿瘤(NENs)是一组异质性肿瘤,涵盖了分化良好的神经内分泌瘤(NETs)和高度侵袭性的神经内分泌癌(NEC)。NENs的基因组学尚不完全清楚。发表在《Oncotarget》的该研究,旨在确认二代测序(NGS)检测NENs患者循环肿瘤DNA(ctDNA)的可行性,并描述常见的基因组改变。

 

采用ctDNA(Guardant360®)临床级别的的NGS对来自320例NEN患者的338份血浆样本的分子变化进行评估。该测试检测54-73个基因中的单核苷酸变异、拷贝数扩增、融合和所选基因的插入与缺失。

 

320例NEN患者中,182例(57%)为男性,中位年龄为63岁(范围:8-93)。肿瘤类型包括胰腺NET(N=165,52%)、胃肠道NEC(N=52,16%)、大细胞肺NEC(N=21,7%)、鼻咽NEC(N=16,5%)和未明确NEC/NET(N=64,20%)。对338份血浆标本进行ctDNA-NGS检测,14例患者进行两次检测,2例患者进行三次检测。在排除意义不明的突变(VUSs)和同义突变后,280例(87.5%)样本中发现1012个基因组改变。280例发生改变的样本中,TP53相关基因改变最常见(N=145,52%),其次为KRAS(N=61,22%)、EGFR(N=33,12%)、PIK3CA(N=30,11%)、BRAF(N=28,10%)、MYC(N=28,10%)、CCNE1(N=28,10%)、CDK6(N=22,8%)、RB1(N=19,7%)、NF1(N=19,7%)、MET(N=19,7%)、FGFR1(N=19,7%)、APC(N=19,7%)、ERBB2(N=16,6%)和PTEN(N=14,5%)。

 

综上所述,在NEN患者中检测ctDNA是可行的。液体活检是一种非侵入性的方法,可以为NEN患者的靶向治疗提供个体化的选择。

 

图3. 根据肿瘤类型分层的基因改


治疗进展?

 

5、177Lu PRRT治疗晚期胃肠道神经内分泌肿瘤:IRSTⅡ期前瞻性研究的10年随访

 

177Lu-PRRT in advanced gastrointestinal neuroendocrine tumors: 10-year follow-up of the IRST phase II prospective study

 

Eur J Nucl Med Mol Imaging.  [IF=7.081]

 

注:Lu177-PRRT尚未在中国获批

 

2014年3月,来自意大利的团队报告了一项开放标签、以疾病为导向的前瞻性II期试验,初步对比了两种不同剂量(18.5gbq和27.5gbq,共5周期)的177Lu-DOTA-奥曲酸肽受体放射性核素治疗(Lu-PRRT)在进展的转移性胃肠道神经内分泌肿瘤(GI-NETs)患者中的有效性和安全性。近期,该研究团队在《Eur J Nucl Med Mol Imaging》发表了该临床试验的进一步结果:晚期毒性、无进展生存期(PFS)和总生存期(OS)。

 

2008年3月至2011年6月,43例患者每6~8周接受3.7GBq或5.5GBq的Lu-PRRT,每个周期重复5次。所有患者在已知病灶中均显示生长抑素受体显像阳性(Rotterdam评分为3-4分)。采用影像学显像评估肿瘤负荷。采用Kaplan-Meier方法描述至事件发生时间(PFS和OS),并以log-rank检验进行比较。

 

43例患者(28例男性和15例女性)可评估,中位监测时间为118个月(12.6-139.6)。接受18.5GBq治疗的患者的中位PFS为59.8个月(95%置信区间[95%CI]14.3-79.6),与接受27.5GBq治疗的患者相同(59.8个月,95%CI为23.4-82.0)。18.5GBq治疗组的中位OS为71.0个月(95%CI为46.1-107.3),27.5GBq治疗组为97.6个月(95%CI为64.3-未达到)(P=0.22)。局限于淋巴结进展的患者的中位PFS和OS显著长于伴有肝脏病灶患者(PFS:P=0.02,OS:P=0.04)。PRRT治疗时年龄超过65岁对OS存在显著影响。值得注意的是,两组均未观察到晚期血液学或肾毒性。

 

IRST Ⅱ期研究的长期随访表明,Lu-PRRT治疗晚期GI-NET患者安全有效,最重要的预后因素是肿瘤负荷、肝脏病灶和年龄。此外,该研究提示,Lu-PRRT应该用于更早期疾病的患者。

 

表2. 基于预后因素的多变量分析

 

图4. 无进展生存期(PFS):a. 活性药物剂量,18.5 GBq vs 27.5 GBq;b. FDG-PET/CT结果,阴性对比阳性;c. 淋巴结转移(LNM)对比肝脏病灶。

 

图5. 总生存期(OS):a. 整体给药活性,18.5 GBq vs 27.5 GBq;b. FDG-PET/CT结果,阴性vs阳性;c. 仅淋巴结转移(LNM)vs 肝病灶。仅LNM vs 肝病灶的P值具有显著性

?
Net2009376

 

专家简介

 

 

黄鹤光教授

主任医师、二级教授、博士生导师

福建医科大学附属协和医院基本外科主任

福建医科大学附属协和医院外科教研室主任

福建医科大学临床医学系主任

福建省医师协会普通外科医师分会会长

中华医学会外科学会全国委员

中华医学会外科学会胰腺外科学组委员

中国医师协会外科医师分会常委

中国医师协会外科医师分会疝和腹壁外科专业委员会副主任委员

中国抗癌协会胰腺癌专业委员会委员

中国抗癌协会胰腺神经内分泌学组副组长

中国研究型医院学会胰腺疾病委员会常委

中国研究型医院学会加速康复专业委员会常委

中国研究型医院学会外科医师分会委员

 

担任学术杂志编委:《中华外科杂志》、《中国实用外科杂志》、《中华普通外科杂志》、《中华肝胆外科杂志》、《中华胰腺病杂志》、《中华肝胆外科手术学杂志》、《肠内肠外营养杂志》、《中国普外基础与临床杂志》、《中华疝和腹壁外科杂志》等。

 

 

本内容仅供医学专业人士参考


内分泌

分享到: 更多