当前位置:肿瘤瞭望>资讯>正文

TKI治疗后疾病缓慢进展的肺癌患者:同步化疗 or 续贯化疗?

作者:肿瘤瞭望   日期:2020/7/27 13:59:03  浏览量:14396

肿瘤瞭望版权所有,谢绝任何形式转载,侵犯版权者必予法律追究。

EGFR突变阳性非小细胞肺癌(NSCLC)可从EGFR-TKI治疗中获益,但遗憾的是均不可避免地出现了耐药,

EGFR突变阳性非小细胞肺癌(NSCLC)可从EGFR-TKI治疗中获益,但遗憾的是均不可避免地出现了耐药,既往研究将耐药后的疾病进展分成了不同的模式,可以根据不同的模式采取相应的诊疗策略。对于缓慢进展的患者,继续TKI治疗可以给患者带来相应的获益,并延后二线治疗启动的时间。在TKI基础上联合化疗也是一种治疗策略,同步化疗和续贯化疗,哪种治疗模式更佳呢?来自上海胸科医院的学者通过一项前瞻性研究,探索了缓慢进展且EGFR-T790M突变阴性的患者,TKI同步化疗或续贯化疗的疗效及安全性。

研究方法
 
这是一项单中心、前瞻性临床研究,纳入组织病理学或细胞病理学确诊的IIIb/IV期NSCLC患者,且携带19del缺失或21L858R突变的患者。患者接受一代埃克替尼治疗进展后出现缓慢进展,且T790M突变阴性,缓慢进展定义为疾病控制时间超过6个月,非靶病灶评分≤2分,症状评分≤1分,PS评分0-2分,年龄≥18周岁,且有一个可测量病灶。
 
符合入组标准的患者随机分为同步化疗组或续贯化疗组,化疗方案为培美曲赛500mg/m2,联合顺铂75mg/m2,每4周治疗一次。本研究的主要研究终点为PFS,次要研究终点为OS、ORR、DCR及安全性。评估每8周进行一次,治疗应持续进行,直至疾病进展、出现不可耐受毒性反应或患者撤销知情同意。

研究结果
 
从2015年1月至2017年7月,共计573例患者接受筛查,222例患者出现疾病缓慢进展,最终99名患者入组并接受随机化。同步化疗组和续贯化疗组分别入组49例和50例患者,两组之间基线特点均衡可比。
 
图1. 患者入组流程
 
数据显示,同步化疗组和续贯化疗组的PFS分别为7.7个月和5.7个月(HR=0.66, 95% CI: 0.44–1.00),差异有统计学意义(P=0.026)(图2)。
 
图2. 患者的PFS
 
对于续贯治疗组,PFS1为1.8个月,50例患者均接受后续化疗,中位PFS2为3.8个月。亚组分析均支持同步化疗效果更好,其中,同步化疗在年龄≤65岁和脑转移患者中的HR分别为0.52 (95% CI: 0.30–0.92)和0.16 (95% CI: 0.03–0.92),差异有统计学意义(图3)。
 
图3. 患者的亚组分析
 
数据分析时,68.7%的患者出现死亡事件,两组分别有39例和37例患者接受后续治疗,同步治疗和续贯治疗组的OS分别为20个月和14.7个月(HR=0.52, 95% CI: 0.32–0.85;),差异有统计学意义(P= 0.038)(图4)。
 
图4. 两组患者的OS
 
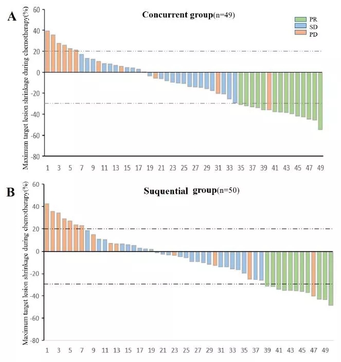
同步化疗组和续贯化疗组的ORR分别为28.6%和22.0%,差异无统计学意义(P=0.45),DCR分别为77.6%和72.0%,差异同样无统计学意义(P=0.53)(图5)。
 
图5. 患者的瀑布图
 
安全性:80.8%的患者出现1~4级不良反应,没有患者出现5级不良反应,没有患者因不良反应导致治疗中止,两组之间所有级别不良反应发生率分别为85.7%和76.0%,差异无统计学意义(P=0.22),3~4级不良反应发生率分别为16.3%和8%,差异同样无统计学意义(P=0.336)。在同步治疗组,最常见的不良反应包括白细胞下降、贫血、肝酶升高;在续贯治疗组,最常见的不良反应包括白细胞下降、便秘和恶心。两组最常见的3~4级治疗相关不良反应均为白细胞下降(图6)。
 
图6. 患者的安全性数据

研究结论
 
接受一代TKI治疗后出现缓慢进展且T790M突变阴性的患者,在TKI治疗的基础上,同步化疗可以有更好的PFS及OS。
 
参考文献:
Chang Q et al. Clinical Lung Cancer In Press Journal Pre-Proof
文献来源:
https://www.clinical-lung-cancer.com/article/S1525-7304(20)30187-X/pdf

本内容仅供医学专业人士参考


肺癌

分享到: 更多