当前位置:肿瘤瞭望>资讯>研究>正文

中国之声闪耀ELCC丨方申存教授团队:脑脊液ctDNA“破壁”肺癌脑转移诊疗困境,开启精准治疗新纪元

作者:肿瘤瞭望   日期:2025/3/31 14:51:30  浏览量:7872

肿瘤瞭望版权所有,谢绝任何形式转载,侵犯版权者必予法律追究。

在晚期非小细胞肺癌(NSCLC)诊疗领域,中枢神经系统(CNS)转移被称为“最后的战场”——诊断滞后、耐药频发、缺乏动态监测手段,患者中位生存期不足6个月。如何破解这一困局?南京医科大学附属脑科医院方申存教授带领多学科团队,以脑脊液ctDNA为“分子雷达”,首次实现颅内肿瘤的实时追踪与疗效预判,相关2项成果亮相2025 ELCC,这不仅填补了肺癌脑转移动态监测的空白,更以“中国原创”引领全球精准医疗浪潮。从实验室到临床,从南京到巴黎,这项研究诠释了“科研为民”的初心,也为无数患者点燃了生命新希望!

ELCC 2025微专辑
扫描二维码
可查看更多内容
 
亮点速览

全球首创:脑脊液ctDNA动态监测技术,突破血脑屏障局限,敏感性超血浆检测40%!
 
精准导航:ctDNA突变频率变化早于影像学,10%波动即可预判生存期,疗效评估提速50%!
 
破局非经典突变:脑脊液ctDNA引导下伏美替尼力克“难治型”EGFR突变型中枢转移,软脑膜转移患者生存期延长超3倍!
 
国际舞台认证:两项研究(摘要64P和摘要254P)入选2025 ELCC,中国方案引全球肺癌领域瞩目!
 
方申存教授
教授,博士,南京医科大学硕士研究生导师
南京脑科医院(南京市胸科医院)呼吸二科主任
南京医科大学附属脑科医院,脑转移瘤诊疗中心主任
江苏省“333工程”培养对象
江苏省“六大人才高峰”高层次人才
江苏省“六个一工程”拔尖人才
江苏省“科教兴卫”工程医学重点人才
江苏省老年学学会中西医结合诊疗专业委员会副主任委员
江苏省医学会内科学分会青委副主任委员
中国老年学与老年医学会肿瘤康复分会委员
中国医药教育协会肺部肿瘤专委会委员
中国健康促进基金会呼吸病专委会委员
主持国家自然科学基金、江苏省自然科学基金、中科院重大战略先导专项、省市卫健委、CSCO专项及科技局等课题15项,以第一或通讯作者发表SCI论文40余篇
 
研究标题
 
摘要64P:伏美替尼治疗罕见EGFR突变非小细胞肺癌伴中枢神经系统转移的真实世界研究
 
前言
 
在晚期非小细胞肺癌(NSCLC)诊疗领域,中枢神经系统(CNS)转移被称为“最后的战场”——诊断滞后、耐药频发、缺乏动态监测手段,患者中位生存期不足6个月。如何破解这一困局?南京医科大学附属脑科医院方申存教授带领多学科团队,以脑脊液ctDNA为“分子雷达”,首次实现颅内肿瘤的实时追踪与疗效预判,相关2项成果亮相2025 ELCC,这不仅填补了肺癌脑转移动态监测的空白,更以“中国原创”引领全球精准医疗浪潮。从实验室到临床,从南京到巴黎,这项研究诠释了“科研为民”的初心,也为无数患者点燃了生命新希望!
 
研究背景
 
中枢神经系统(CNS)转移是晚期NSCLC患者面临的严重神经系统并发症,通常标志着肿瘤进展的终末阶段和极短的生存期。针对这类患者的最有效治疗方案,高度依赖于能否准确预测临床疗效,并根据治疗反应状态动态调整用药策略。通过脑脊液(CSF)检测循环肿瘤DNA(ctDNA),可有效突破基于血液检测中血脑屏障的阻隔,为NSCLC伴CNS转移患者的临床疗效追踪及用药指导提供重要依据。
 
研究方法
 
1.通过Ommaya储液囊对LUAD-LM患者脑脊液进行序贯监测
 
本研究纳入2022年9月23日至2024年6月1日期间在南京医科大学附属脑科医院就诊的125例肺腺癌(LUAD)伴LM患者。所有患者均植入Ommaya储液囊,用于颅内给药和CSF采集。每个治疗周期结束时评估整体临床反应。基线时分别获取125例CSF和血液样本,治疗期间共收集176例CSF样本。所有样本均进行靶向二代测序,并检测基线与各时间点的CSF及血液癌胚抗原(CEA)水平。基于生物信息学方法,分析脑脊液来源的ctDNA在临床疗效评估和患者预后中的预测能力。
 
2.ctDNA动态监测在非经典EGFR突变的CNS转移非小细胞肺癌的应用
 
本研究对2022年3月1日至2024年8月31日期间在南京医科大学附属脑科医院治疗的31例携带非经典EGFR突变的CNS转移的NSCLC患者数据进行了回顾性分析。所有患者均接受伏美替尼(furmonertinib)治疗,并收集了患者的临床基线信息、治疗结果、生存数据及安全性数据。采用下一代测序技术(NGS)对21例LM患者的CSF中的ctDNA进行分析。
 
研究结果
 
1.敏感性碾压血浆检测,早诊早治不再“盲人摸象”
 
在纳入的125例LUAD-LM患者中,基线时,99.2%的CSF样本中检测到体细胞突变,而血浆样本中仅57.6%携带突变(图1);CSF中可检测突变的最大变异等位频率(maxVAF)显著高于血浆样本,表明CSF在体细胞突变检测中具有更高的敏感性(图2)。
 
图1患者与样本特征
 
图2基线脑脊液(CSF)与血浆样本体细胞突变检测
 
2.ctDNA的10%波动预判生死,动态监测改写临床决策
 
CSF ctDNA最大变异等位频率(maxVAF)相对变化(?CSF-ctDNA-maxVAF)与临床反应的一致性高于基于血浆ctDNA和癌胚抗原(CEA)的评估。此外,基线CSF ctDNA maxVAF高于50%的患者生存预后较差。通过分析CSF ctDNA的动态变化,我们发现从基线至第一个时间点ctDNA maxVAF降低10%的患者生存期和疾病进展时间更长,而ctDNA maxVAF升高10%的患者临床预后更差(图3)。
 
图3脑脊液(CSF)ctDNA与临床结局的关联性
 
3.伏美替尼破解“非经典突变”魔咒,软脑膜转移患者现生机
 
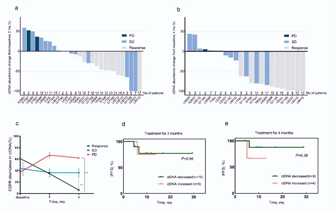
在21例非经典突变的NSLSC-LM患者的CSF中均检测到了基线EGFR突变ctDNA。经过2个月和4个月的伏美替尼治疗后,分别有17例(90.0%)和13例(61.9%)患者仍可检测到EGFR突变ctDNA。在ctDNA丰度降低的患者中,缓解(Response)和疾病稳定(SD)患者均观察到颅内反应,而ctDNA丰度增加的患者则与SD和疾病进展(PD)相关。治疗2个月和4个月后,分别有3例和2例患者实现了ctDNA清除。ctDNA动态分析表明,颅内反应与ctDNA丰度变化程度相关(缓解组vs.SD组,P=0.007;缓解组vs.PD组,P=0.004)。EGFR丰度降低的患者表现出更高的颅内无进展生存期(iPFS),但由于样本量较小,未达到统计学显著性差异(图4)。
 
图4.CSF ctDNA动态分析
 
研究结论
 
CSF ctDNA在检测CNS转移遗传变异方面表现出无比优越性,且其动态变化能够更好地预测治疗效果和临床预后,从而优化晚期NSCLC伴CNS转移患者的个体化治疗策略。同时,在非经典EGFR突变的中枢转移患者中,伏美替尼在脑脊液ctDNA指导下无论在脑膜转移和复合突变中均发挥了卓越的优势。
 
壁报内容
 
展望:让精准医疗之光照亮每一个“生命禁区”——《肿瘤瞭望》独家专访南京脑科医院脑转移瘤诊疗中心领军者

方申存教授:肺癌作为全球发病率和死亡率最高的恶性肿瘤之一,CNS转移意味着肿瘤终末期,尤其是软脑膜转移,尚无有限的治疗策略。尽管ctDNA在肿瘤液体活检中的应用已被广泛认可,但其在肺癌CNS转移中的动态变化分析及其临床转化价值仍需深入探索。另外,ctDNA在CSF和血浆中的表达异质性、疗效评估以及预后价值的争议性仍需进一步阐明。因此,本研究旨在揭示CSF ctDNA的动态变化模式,明确其作为晚期肺癌CNS转移疗效评估和预后预测的潜力,为CNS转移的个体化治疗提供新思路。同时,在非经典EGFR突变的NSCLC伴中枢转移患者中,尤其是复合非经典突变,目前的治疗尚无统一的共识。二代药物阿法替尼入脑效果不佳,且对复合突变疗效不清楚,不建议常规推荐;三代EGFR-TKI入脑效果尚可,但对于非经典EGFR突变和复合非经典EGFR突变疗效尚无循证医学证据。
 
本项回顾性研究发现,伏美替尼不仅能解决非经典EGFR突变的脑转移瘤患者,而且能有效控制绝大部分复合突变的脑转移瘤患者。即使患者既往接受过阿法替尼等多线治疗和软脑膜转移,伏美替尼仍然能作为挽救性治疗药物,改善生活质量和延长患者的生存时间。此外,脑脊液中EGFR突变丰度变化能够很好的判断伏美替尼的疗效和预后,值得在临床中进行推广应用。“脑转移不是终点,而是精准治疗的新起点。”方教授表示,团队正推进脑脊液ctDNA检测标准化及多中心临床试验,并探索AI辅助动态分析模型。“我们的目标不仅是延长生存,更要让患者活得有质量、有希望!”

本内容仅供医学专业人士参考


肺癌

分享到: 更多