当前位置:肿瘤瞭望>资讯>研究>正文

乳线新语丨CCNE1或可作为哌柏西利+来曲唑的耐药标志物

作者:肿瘤瞭望   日期:2021/11/3 10:12:21  浏览量:13140

肿瘤瞭望版权所有,谢绝任何形式转载,侵犯版权者必予法律追究。

本期“乳线新语”栏目为大家整理了近期发表的乳腺癌相关研究进展,包括乳腺小叶浸润癌是否适用多基因检测;pT1N0M0的HER2阳性乳腺癌患者完全去化疗的抗HER2辅助治疗;来曲唑+哌柏西利生物标志物探索的研究。

编者按:本期“乳线新语”栏目为大家整理了近期发表的乳腺癌相关研究进展,包括乳腺小叶浸润癌是否适用多基因检测;pT1N0M0的HER2阳性乳腺癌患者完全去化疗的抗HER2辅助治疗;来曲唑+哌柏西利生物标志物探索的研究。

 
01 乳腺小叶浸润癌也适用多基因检测
 
目前,多基因检测已广泛用于乳腺癌筛查及指导乳腺导管浸润癌(IDC)的治疗选择。对于占比仅为10%~15%的乳腺小叶浸润癌(ILC),进行多基因检测的临床意义尚不清楚。
 
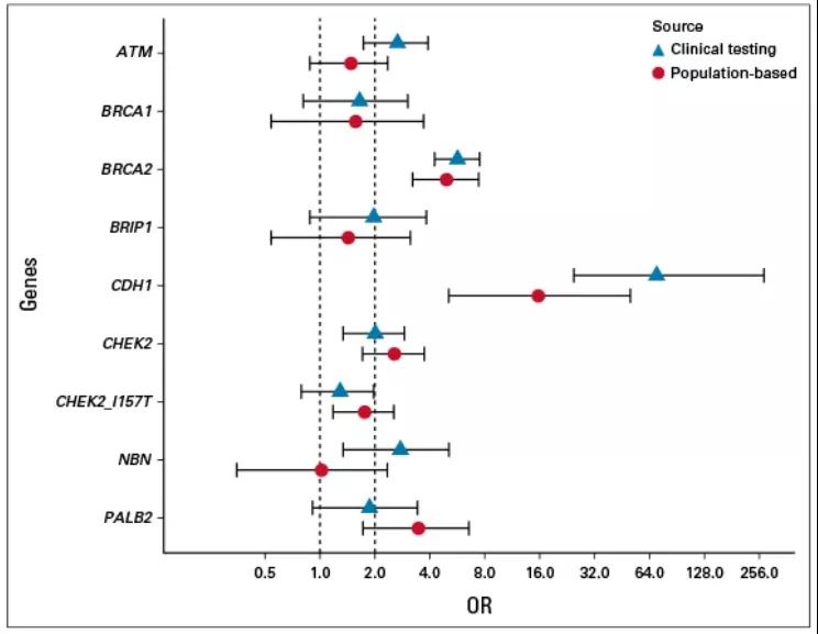
10月21日发表在JCO杂志的一项研究中,纳入了美国癌症易感基因联盟(CARRIERS)人群队列中的2999例乳腺小叶浸润癌和20323例乳腺导管浸润癌患者;以及临床队列中的3796例乳腺小叶浸润癌和37405例乳腺导管浸润癌患者。该研究对乳腺小叶浸润癌女性、乳腺导管浸润癌女性、无癌对照女性的12种乳腺癌易感基因(ATM、BARD1、BRCA1、BRCA2、BRIP1、CDH1、CHEK2、PALB2、PTEN、RAD51C、RAD51D、TP53)的种系致病变异率进行比较,结果发现:
 
在乳腺小叶浸润癌患者中,CARRIERS队列和临床队列的致病性易感基因变异率分别为5.2%和6.5%。
 
在病例对照分析中,与对照组相比,CDH1和BRCA2突变与乳腺小叶浸润癌的高风险相关(OR>4),CHEK2、ATM和PALB2突变与中度风险相关(OR=2-4)。BRCA1和CHEK2 短臂Ile157Thr变异与乳腺小叶浸润癌的临床相关风险无关(OR<2)。
 
与乳腺导管浸润癌相比,乳腺小叶浸润癌的CDH1富集程度>10倍,BRCA1突变显著减少
 
 
该研究证实ATM、BRCA2、CDH1、CHEK2和PALB2致病性变异与乳腺小叶浸润癌风险增加相关,而BRCA1与ILC风险增加无关。ILC和IDC的总体致病性突变频率相似,表明癌症组织学不应影响进行基因检测的决定。因此,与IDC相似,多基因小组检测可能适用于ILC妇女。
 
02 T1期小肿瘤去化疗的抗HER2辅助治疗
 
大约20%的乳腺癌存在HER2扩增的。在APT试验中,淋巴结阴性且肿瘤<3cm的HER2阳性乳腺癌患者每周服用紫杉醇/曲妥珠单抗,7年iDFS率可达93%。然而,这是在一项非随机试验的背景下进行的,对于pT1N0 HER2阳性乳腺癌,目前尚不清楚抗HER2单药治疗是否能提供与化疗相似的临床获益。
 
10月16日,一项发表在Breast Cancer Res Treat上的研究,利用美国外科医师学会(ACS)全国癌症数据库的数据,对肿瘤≤2厘米且淋巴结阴性的HER2阳性早期乳腺癌术后曲妥珠单抗±化疗进行了比较。
 
该研究共纳入23281例在2004~2017年初诊为pT1N0M0的HER2阳性乳腺癌患者,术后曲妥珠单抗辅助治疗患者分为两组:曲妥珠单抗单药治疗组(n=1013)和曲妥珠单抗联合化疗(n=22268),因两组复发风险分布不平衡(高危患者通常选择靶向联合化疗),故按3∶1的比例进行倾向评分匹配,共筛选出曲妥珠单抗+化疗患者1995例和曲妥珠单抗单药治疗患者666例。
 
匹配后,曲妥珠单抗+化疗和曲妥珠单抗的5年OS率分别为94.1%和90.6%(P=0.041)。
 
 
从这项大数据回顾性分析可见,尽管pT1N0 HER2+BC患者接受曲妥珠单抗+化疗有一定的OS优势,但曲妥珠单抗单药治疗的5年OS也可大于90%。因此,在选择有化疗禁忌症或完全拒绝辅助化疗的患者中,辅助曲妥珠单抗治疗可能也是一种合理的选择。
 
03 CCNE1是来曲唑+哌柏西利耐药的标志物
 
CDK4/6抑制剂联合内分泌治疗已经成为ER+/HER2-晚期乳腺癌患者的标准治疗方案之一,有关生物标志物的探索众多。一项近日发表在Clin Cancer Res的研究,旨在确定哌柏西利单独或联合来曲唑应用与Ki-67反应的相关性,以及药物对生物标记物的药效作用。
 
该研究共入组307例绝经后ER+/HER2原发性乳腺癌患者,随机分为:
 
—来曲唑新辅助治疗14周;
 
—来曲唑治疗2周,然后来曲唑+哌柏西利治疗14周;
 
—哌柏西利治疗2周,然后来曲唑+哌柏西利治疗14周;
 
—来曲唑+哌柏西利治疗14周。
 
在基线检查时、2周和14周时进行活检,并在停药后不同时间进行手术,进行Ki-67、c-PARP、ER、PgR、RB1、CCNE1和CCND1等免疫组化分析。
 
结果显示:基线ER和PgR越高,14周时肿瘤细胞周期完全停滞的几率越大(CCCA:Ki67<2.7%),而基线Ki-67、c-PARP和CCNE1越高,发生完全停止的几率越低。与治疗的相互作用仅对c-PARP有显著意义。
 
来曲唑在第2周和第14周时使CCND1水平降低约20%,但哌柏西利有增加的趋势。CCNE1水平在显示CCCA的肿瘤中下降82%(中位数),但在无CCCA的肿瘤中没有变化。停药3-9天后,仅有2/9的肿瘤显示CCCA。在开始治疗后(大于或等于)6个月手术的2/4肿瘤中发现ESR1突变。
 
 
该研究表明:高CCNE1水平是来曲唑+哌柏西利耐药的生物标志物。停止哌柏西利后3-9天内Ki-67恢复表明,在其计划的“休息”时间内,增殖不完全抑制。
 
参考文献
 
[1]Yadav S, Hu C, Nathanson KL, et al. Germline Pathogenic Variants in Cancer Predisposition Genes Among Women With Invasive Lobular Carcinoma of the Breast [published online ahead of print, 2021 Oct 21]. J Clin Oncol. 2021;JCO2100640. doi:10.1200/JCO.21.00640
 
[2]Cao L, Shenk R, Stabellini N, et al.Adjuvant trastuzumab with or without chemotherapy in stage 1 pT1N0 HER2+ breast cancer: a National Cancer Database analysis.Breast Cancer Res Treat. 2021 Oct 16. Online ahead of print.

本内容仅供医学专业人士参考


CCNE1

分享到: 更多