ASCO热评丨宋毅教授:激素敏感性前列腺癌治疗进展精粹

作者:肿瘤瞭望   日期:2021/6/22 11:59:22  浏览量:18599

肿瘤瞭望版权所有,谢绝任何形式转载,侵犯版权者必予法律追究。

在既往70余年的时间长河中,转移性激素敏感性前列腺癌(mHSPC)的标准治疗一直都是单独使用雄激素剥夺治疗(ADT)。

温馨提示

 
以下内容仅限医疗卫生专业人士学术交流使用,如为非医疗卫生专业人士请主动退出浏览与阅读,否则由此产生的相关风险与后果应自行承担。
 
编者按:在既往70余年的时间长河中,转移性激素敏感性前列腺癌(mHSPC)的标准治疗一直都是单独使用雄激素剥夺治疗(ADT)。直到近几年研究显示,在ADT治疗基础上联合化疗或新型内分泌治疗可显著延长mHSPC患者生存时间,触发了mHSPC治疗标准的巨变。2021 ASCO会议有多篇前沿报道聚焦mHSPC方向,本期特邀北京大学第一医院泌尿外科宋毅教授,与您分享最前沿的ASCO mHSPC治疗进展。
 
 
摘要5001:TAK-700在mHSPC人群有效性Ⅲ期试验中再折戟
 
TAK 700是一种口服选择性非甾体17,20-裂解酶抑制剂,作用机制为阻断性腺和肾上腺雄激素的合成。SWOG S1216研究为前瞻性、随机、开放标签的Ⅲ期临床试验,将Zubrod状态功能评分(PS)为0~2、PSA≥2 ng/ml的mHSPC患者,按1:1随机分组至ADT+TAK 700(300 mg,每日两次)或ADT+比卡鲁胺(50 mg,每日一次),以评估TAK 700联合ADT在mHSPC中的有效性。
 
意向治疗分析集(ITT)共纳入1279例患者,中位随访4.9年后,TAK组的PFS和PSA反应明显优于比卡鲁胺组,但OS无明显改善(表1)。TAK组较比卡鲁胺组3/4级不良事件更多(43% vs. 14%),包括高血压(20% vs. 5%)和疲劳(5% vs. 2%)。5例TAK组患者和1例比卡鲁胺组患者发生5级AE。
 
本研究结论为,尽管在mHSPC人群中,TAK+ADT较比卡鲁胺+ADT的各项次要终点指标有临床意义的改善,但OS的改善不符合预先规定的统计显著性标准。对照组(ADT+比卡鲁胺组)70个月的中位OS值高于同期Ⅲ期试验中的报道,并且比最初估计值高16个月[1]。
 
表1. 意向性治疗分析中的OS及PSA反应率
*单侧;**Cochran-Mantel-Haenszel法双侧。
(引自2021 ASCO 摘要5001)
 
宋毅教授:TAK 700作用机理与阿比特龙类似,但在抑制雄激素合成方面比阿比特龙少阻断一条通路。TAK 700在ELM-PC 5研究中,以转移性去势抵抗型前列腺癌(mCRPC)为研究对象,研究结果以失败告终,在OS终点未能体现与安慰剂的疗效差异[2]。但在ELM-PC 5研究的亚组分析中发现,TAK 700对东亚人群或者是日本人群可能有一定疗效。
 
今年的ASCO会议中,将TAK 700推至更前线——mHSPC,遗憾的是虽然在PFS和PSA反应均取得很好结果,但在OS上与对照组相比依然未出现有统计学意义的差异。这一结果使TAK 700在前列腺癌治疗前景中蒙上了一层阴影。从本试验设计而言,TAK 700+ADT与传统联合雄激素阻断治疗(CAB)即比卡鲁胺+ADT进行对比,在对照组选择上较为冒险。目前已有多种药物包括化疗、新型内分泌治疗药物等应用于mCRPC和mHSPC人群,所以TAK 700在未取得与对照的优效性结果时,前景将很不乐观。
 
本研究的对照组比卡鲁胺+ADT中位OS虽明显长于比卡鲁胺的Ⅲ期研究结果,但由于摘要并未能完全披露入组基线人群详细特征及研究细节,不同人群、不同阶段研究之间的数据直接对比有失公允,我们期待看到随后的详细研究数据以及进一步的试验加以证实。
 
摘要5067:ADT可能降低新冠疫情下前列腺癌患者的死亡率
 
既往研究表明,ADT可降低新冠病毒的感染性;然而,在伴COVID-19的前列腺癌患者中,ADT是否与更高的生存率相关尚不清楚。本研究对巴西公共卫生系统中住院治疗COVID-19的前列腺癌(PC)患者进行了回顾性分析。比较了正在使用ADT的患者与非正在使用ADT的患者(即过去使用ADT的患者),构建了两者的倾向评分模型。纳入109例过去或正在使用ADT的伴COVID-19的PC患者。52.8%的患者小于75岁,44.0%(48/109)的患者正在使用ADT,其中大多数使用GnRH类似物(73%,35/48)。
 
在logistic回归模型中,正在使用ADT是保护因素(OR 0.28,95%CI:0.12~0.66,P=0.0036);在进行倾向性评分模型再调整后,观察到ADT仍然与总生存的改善有统计学关联(平均治疗效果[ATE]-0.26,95%CI:-0.45至-0.08,P=0.0058)(图1),提示使用ADT与COVID-19患者的死亡风险降低可能有关[3]。
 
图1. 正在(蓝色)和非正在(红色)使用ADT的患者累积死亡率
(引自2021 ASCO摘要5067)
 
宋毅教授:新冠相关研究是当前热点,但ADT与新冠感染前列腺癌患者生存之间的关联性目前不得而知,存在如下两种情况,一个是结果仅仅存在统计学上的相关性,但无内在联系;另一个是雄激素的减少可能降低了病毒感染、免疫减弱前列腺癌人群的死亡率,但当前暂无证据支持,需要更深入的研究去了解新冠病毒,并阐明雄激素在新冠病毒感染的发生和发展中起到何种作用。
 
新冠相关的前列腺癌研究在国内开展较为困难。该类研究需要在疫情控制不佳且有一定基数的前列腺癌患者人群地区中进行。疫情对于人类而言是一场灾难,相信医务工作者会从中不断摸索规律、积累经验,为将来更好的解决类似问题提供范本。
 
摘要5021:全基因组测序在mHSPC人群预判疗效初显成效!
 
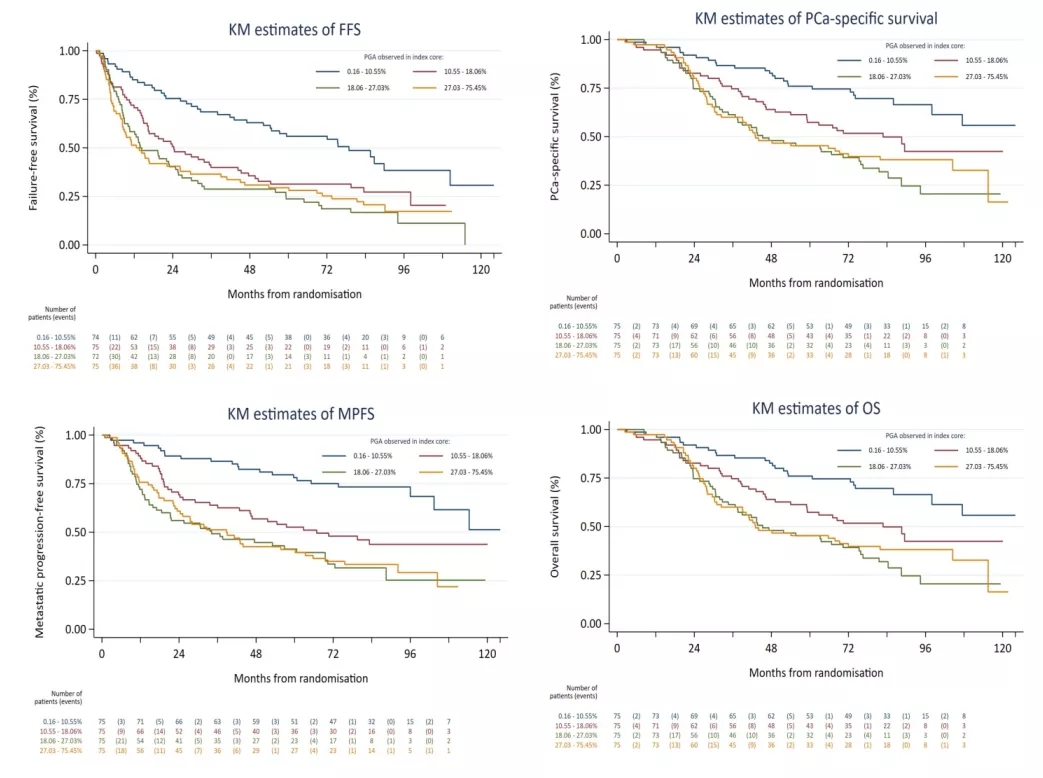
晚期HSPC患者行长程ADT治疗后,其临床病程异质性很大,化疗或新型内分泌治疗等强化治疗可改善治疗结局,但存在过度治疗的风险,尤其是在非转移性(M0)或转移性(M1)低瘤负荷的患者中。本研究对2005年至2016年间STAMPEDE研究中随机分配至标准ADT组的患者福尔马林固定石蜡包埋 (FFPE) 的穿刺活检标本进行了低深度全基因组测序 (lpWGS),成功分析了300例患者样本,以评估基因组改变百分比(PGA)的增加是否与更高的肿瘤负荷和更差的预后相关。
 
结果显示,Gleason分级最高的穿刺区域中位基因组突变百分比(PGA)为18%(0%~75%;n=300)。M1组(n=169)的PGA显著高于M0组(n=131)(中位数:21% vs. 14%;P=0.00006)。将284/300例进一步按肿瘤负荷分层:M0淋巴结阴性和阳性、M1低和高肿瘤负荷。PGA与肿瘤负荷增加显著相关(P=0.00002)。PGA增加与无失败生存期(FFS,P=0.004)、无进展生存期(P=0.002)、无转移进展生存期(MPFS,P=0.003)、总生存期(P=0.045)和前列腺癌特异性生存期(P=0.011)的风险增加成显著非线性相关(图2)。本研究提示,lpWGS可用于识别预后较好的晚期HSPC患者,并有潜在的临床实用性,对于此类识别后的预后较好的患者,可能无需进行前列腺癌强化治疗[4]。
 
图2. STAMPEDE研究lpWGS分析下PGA与FFS、Pca-特异死亡、MPFS和OS的相关性
(引自2021 ASCO 摘要5021)
 
宋毅教授:基因检测在前列腺癌的应用中尚处于探索阶段。既往我们仅对晚期或家族性前列腺癌患者推荐行基因检测,目的是在对化疗、新型内分泌治疗等常规治疗无获益的mCRPC人群中,寻找真正有临床价值和意义的突变基因,从而帮助患者打开一扇新的治疗窗口,例如检测有无BRCA基因突变等。总体而言,目前基因突变检测的阳性率并不高。
 
本次ASCO会议上的这篇报道,基于STAMPEDE研究,将基因检测前移至HSPC阶段,以分析需要积极治疗的人群特征。以往我们对转移性前列腺癌进展风险的判断依据包括肿瘤负荷、Gleason评分、转移部位有无包含内脏等要素,当患者合并高风险时,往往提示需要较强治疗。通过全基因组测序结果来判断是否应该行积极治疗,这对临床有很大帮助。这项研究入组病例数较少,需要更多的病例数据来验证结论。全基因组测序价格不菲,在进行该检测时需要考虑患者的经济负担和付出收益比。目前国内的基因检测结果尚无统一质控标准,且完全为患者自费。总体来看,基因检测在前列腺癌的应用中有曙光,还需要积极探索。我国总体前列腺癌人群基数庞大,希望能拿到更多、更好的数据,来支持基因检测的临床决策。
 
参考文献:
[1] 2021 ASCO Abs.5001:SWOG S1216: A phase III randomized trial comparing androgen deprivation therapy (ADT) plus TAK-700 with ADT plus bicalutamide in patients (pts) with newly diagnosed metastatic hormone-sensitive prostate cancer (mHSPC) (NCT01809691).
[2] Fizazi K ,  Jones R ,  Oudard S , et al. Phase III, randomized, double-blind, multicenter trial comparing orteronel (TAK-700) plus prednisone with placebo plus prednisone in patients with metastatic castration-resistant prostate cancer that has progressed during or after docetaxel-based therapy: [J]. Journal of Clinical Oncology, 2015, 33(7):723-731.
[3] 2021 ASCO Abs.5067: Impact of androgen deprivation therapy on mortality of prostate cancer patients with COVID-19: A propensity score-based analysis.
[4] 2021 ASCO Abs.5021: Copy number profiles of primary tumors for risk stratification of advanced prostate cancer: A biomarker study embedded in the multicenter STAMPEDE trial.
 
声明
 
本视频/资讯/文章是由益普生医学团队编辑/医疗卫生专业人士撰写提供,旨在用于医疗卫生专业人士间的学术交流,不支持以任何形式转发给非医疗卫生专业人士;如有违反,责任自负;转发给其他医疗卫生专业人士时,也请自觉保护知识产权。
 
本视频/资讯/文章的内容不能以任何方式取代专业的医疗指导,也不应被视为诊疗建议。内容中出现任何药品并非为广告推广目的,医疗卫生专业人士如进行处方,请严格遵照该药品在中国批准使用的说明书。益普生不承担任何相关责任。
 
DIP-CN-004481 有效期至:2022年6月16日 

本内容仅供医学专业人士参考


ASCO 2021

分享到: 更多