当前位置:肿瘤瞭望>资讯>快讯>正文

黄吉炜教授:UTUC新辅助治疗的“仁济经验”丨CUDA 2025

作者:肿瘤瞭望   日期:2025/7/1 13:46:28  浏览量:4636

肿瘤瞭望版权所有,谢绝任何形式转载,侵犯版权者必予法律追究。

2025年中国医师协会泌尿外科医师分会(CUDA)年会于6月12—15日在浪漫之城珠海成功举行。本次大会以“健康中国,泌尿先行”为主题,吸引国内医学同道参会,分享泌尿外科领域的前沿新知和实践经验。上海交通大学医学院附属仁济医院黄吉炜教授在本次大会上带来了上尿路上皮癌(UTUC)新辅助治疗的精彩报告,并在接受《肿瘤瞭望-泌尿时讯》进一步分享该团队在UTUC新辅助治疗领域的研究成果和实践经验。

编者按:2025年中国医师协会泌尿外科医师分会(CUDA)年会于6月12—15日在浪漫之城珠海成功举行。本次大会以“健康中国,泌尿先行”为主题,吸引国内医学同道参会,分享泌尿外科领域的前沿新知和实践经验。上海交通大学医学院附属仁济医院黄吉炜教授在本次大会上带来了上尿路上皮癌(UTUC)新辅助治疗的精彩报告,并在接受《肿瘤瞭望-泌尿时讯》进一步分享该团队在UTUC新辅助治疗领域的研究成果和实践经验。
 
01
《肿瘤瞭望-泌尿时讯》:针对UTUC新辅助治疗,您会如何进行适用人群和方案的选择?

黄吉炜教授:UTUC的新辅助治疗可能是未来临床研究和实践的一大趋势。总体而言,UTUC的预后比膀胱癌更差,因此更需要通过积极的围手术期治疗以改善患者预后。围手术期治疗的药物选择主要有化疗、靶向ADC(抗体药物偶联物)治疗和免疫治疗。当前的研究证据显示,基于铂类的新辅助化疗已取得一定疗效,但较为显著的不良反应使其应用受限,部分患者无法耐受化疗的毒副作用。我们中心已开展过新辅助单免疫治疗的研究,其副作用较小,但疗效并不满意;新辅助ADC药物治疗,尤其是ADC药物联合免疫治疗,可能会取得更好的效果。
 
在选择新辅助治疗的人群时,主要有两类患者较为合适:第一类是局部进展期患者,可能手术困难或难以达到R0根治性切除,患者通过新辅助治疗后可转化为可手术或可根治性切除;第二类是肾功能储备不足、手术耐受性差、相对高危的局限期患者(如肌层浸润性肿瘤、高肿瘤负荷等),原本需要进行输尿管全长及肾脏切除,通过药物治疗后可能实现保肾治疗。
 
02
《肿瘤瞭望-泌尿时讯》:能否进一步介绍一下贵中心在UTUC新辅助治疗领域的研究探索?您如何看待免疫、靶向、ADC等新型药物的应用价值?

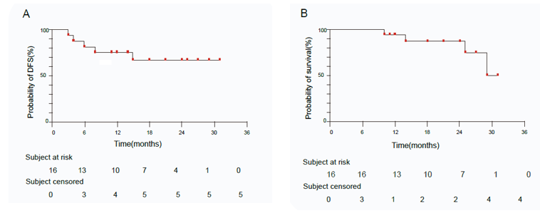
黄吉炜教授:我们中心已经或正在开展一些UTUC新辅助治疗的临床研究。其中一项是单药替雷利珠单抗用于高危UTUC新辅助治疗的单臂2期研究。我们知道此前国际上报道针对高危肌层浸润性膀胱癌(MIBC)的PURE-01研究中,帕博利珠单抗单药新辅助治疗取得较高(42%)的病理完全缓解(pCR,ypT0N0)率,并且能够转化为无复发生存(RFS)的获益;但在针对高危UTUC的PURE-02研究中,帕博利珠单抗新辅助治疗的pCR率仅为14.3%。我们开展的这项研究中,术前4个周期替雷利珠单抗新辅助治疗高危UTUC显示了较为不错的疗效,pCR率为20%;而且有不少患者(43%)达到了病理缓解(≤ypT1N0)。
 
△上海仁济医院开展的替雷利珠单抗用于高危UTUC新辅助治疗的单中心单臂研究(ASCO-GU 2024)
 
在免疫治疗基础上联合化疗、靶向或者ADC治疗有望进一步提升疗效。我们中心还牵头开展了一项ADC联合免疫治疗的全国多中心研究,显示了较为不错的疗效和安全性。相关研究成果正在投稿中,期待后续能与大家分享。总体而言,联合治疗可能会带来更好UTUC新辅助治疗效果;但目前临床实践中,化疗仍然是UTUC新辅助治疗的主要选择,在部分患者中也有较好的应用价值。
 
03
《肿瘤瞭望-泌尿时讯》:对于新辅助疗效好的患者,是否可以考虑保肾治疗?后续如何加强治疗和监测,以降低复发风险?

黄吉炜教授:对于一些有保肾需求的高危UTUC患者,若能通过新辅助治疗达到显著缩小肿瘤、转变为低危肿瘤,部分降级、降期的患者可以考虑进行保肾治疗。在中国医师协会泌尿外科医师分会(CUDA)UTUC协作组的指导下,我们中心牵头开展了DISTINCT1研究以及即将扩大样本量的DISTINCT2研究,旨在术前新辅助治疗将高危UTUC患者转为低危,进而实现保肾手术。国内其他中心,如华西医院和复旦大学附属肿瘤医院,也在积极开展相关研究。
 
对于接受保肾治疗的患者,我们需要通过科学严密的监测手段以确保患者的肿瘤学安全性。
 
未来我们可能会利用肿瘤的分子或基因学标志物,通过血液ctDNA或尿液utDNA等无创性液体活检技术,实现实时动态监测,从而弥补传统膀胱输尿管内镜、尿液脱落细胞学监测随访的不足。此外,针对此类高危患者,术后也需要进一步探讨如何通过辅助治疗降低复发风险。
 
▌参考文献:
 
[1]Kolawa A,D’Souza A,Tulpule V.Overview,Diagnosis,and Perioperative Systemic Therapy of Upper Tract Urothelial Carcinoma.Cancers(Basel).2023;15(19):4813.Published 2023 Sep 30.doi:10.3390/cancers15194813
 
[2]Interim results from PURE-01:A phase 2,open-label study of neoadjuvant pembrolizumab(pembro)before radical cystectomy for muscle-invasive urothelial bladder carcinoma(MIUC).ASCO 2018
 
[3]Neoadjuvant Pembrolizumab May Result in Long-Term Outcome Improvement in Biomarker-Unselected Patients With Muscle-Invasive Bladder Cancer:Updated results from PURE-01.]AUA 2022
 
[4]PURE-02:An open-label,single-arm,feasibility study of neoadjuvant pembrolizumab before Radical Nephroureterectomy(RNU)in patients with high-risk,Upper-Tract Urothelial Carcinoma(UTUC).EAU 2021
 
[5]Jiwei Huang,et al.A phase II study of tislelizumab(T)monotherapy as neoadjuvant treatment for cisplatin-ineligible high risk upper tract urothelial carcinoma(UTUC).ASCO GU 2024,abstract 591
 
黄吉炜教授
上海交通大学医学院附属仁济医院泌尿科副主任
泌尿科西院一病区主任主任医师,硕士生导师,博士
美国哈佛大学医学院麻省总医院(MGH)博士后
中国医师协会上尿路尿路上皮癌(UTUC)学组副组长
中国医师协会肾癌学组委员
中华医学会泌尿外科分会全国青委会微创学组委员
中国临床肿瘤协会尿路上皮癌专家委员会委员
中国老年保健协会泌尿系统肿瘤慢病管理分会常委
中国性学会泌尿外科学分会委员
中国人体健康科技促进会泌尿男生殖系肿瘤专委会委员
CACA中西医整合肾癌专委会委员
中华医学会上尿路尿路上皮癌及中国临床肿瘤协会尿路上皮癌指南执笔专家
国家医疗先行试验区海南博鳌乐城罕见病专家委员会专家
上海中西医结合学会肿瘤学组委员
上海市浦东新区劳动能力鉴定委员会专家
《中华肿瘤杂志》、《现代泌尿外科杂志》编委
《JCO泌尿生殖系统肿瘤专刊中文版》青年编委会委员
擅长肾肿瘤及UTUC诊疗,年独立完成肾输尿管肿瘤手术超1000例次。
主持国家自然基金课题及上海市级课题5项,其他课题数项,以第一作者或通讯作者发表SCI论文40多篇,总IF超过200分
从2015年开始先后10余次在EAU,AUA,ESMO、ASCO等国际大会上进行学术报告

本内容仅供医学专业人士参考


上尿路上皮癌

分享到: 更多