当前位置:肿瘤瞭望>资讯>快讯>正文

Ann Oncol丨激素受体状态和肿瘤亚型对BRCA变异年轻患者的影响

作者:肿瘤瞭望   日期:2024/9/13 11:20:36  浏览量:8061

肿瘤瞭望版权所有,谢绝任何形式转载,侵犯版权者必予法律追究。

编者按:乳腺癌是40岁及以下年轻女性最常见的恶性肿瘤,严重威胁女性健康。激素受体阳性是最常见的乳腺癌亚型,往往被认为是预后较好的预测因素。临床中约有12%新确诊乳腺癌患者携带BRCA变异,此类人群往往具有特殊的生物学特征,与总体人群表现并不一致。2024年9月,ESMO青年肿瘤学专家委员会主席、《ESMO Open》副主编,意大利IRCCS Policlinico San Martino Hospital的Matteo Lambertini教授于《Annals of Oncology》(IF 56.7)发表了一项全球最大规模的针对携带BRCA变异年轻乳腺癌患者的回顾性研究,发现激素受体阳性的携带BRCA变异年轻乳腺癌患者并不一定较激素受体阴性者具有更好预后,此类人群或许需要进一步强化临床治疗方案。现将此项最新进展整理如下,以飨读者。

此项国际、多中心、以医院为基础的回顾性队列研究纳入了2000年1月到2020年12月间全球78个中心4709名携带BRCA变异的年轻乳腺癌患者,2143例(45.5%)为激素受体阳性,其余为激素受体阴性。该研究要求患者年龄≤40岁,携带BRCA1和/或BRCA2致病变异(PV),排除激素受体状态未知、其他恶性肿瘤史、未知的BRCA变异、新发Ⅳ期乳腺癌患者。通过免疫染色评估患者激素受体状态、免疫组化(IHC)及荧光原位杂交(FISH)确定HER2状态。对患者数据进行统计分析,以调查激素受体(HR)状态对携带BRCA变异的年轻乳腺癌患者临床行为及结果的影响。主要终点为无病生存期(DFS),次要研究终点包括乳腺癌特异性生存期(BCSS)、总生存期(OS)、复发类型(局部或远处、继发性乳腺和非乳腺恶性肿瘤)以及随时间推移的复发模式。
 
根据激素受体状态分析
 
激素受体阳性较激素受体阴性患者携带gBRCA2变异比例(65.0%vs 10.2%,P<0.001)、伴有HER2阳性比例更高(11.0%vs 4.0%,P<0.001);而淋巴结受累(45.4%vs 57.4%,P<0.001)、肿瘤分级3级(51.3%vs 82.7%,P<0.001)的比例更少;接受化疗(87.2%vs 96.5%,P<0.001)、保乳手术(33.1%vs 44.0%,P<0.001)的可能性更小;两个亚群从确诊乳腺癌到BRCA检测的中位检测时间分别为5.6个月和5.1个月。
 
中位随访7.9年,激素受体阳性乳腺癌报告720例(33.6%)DFS事件,激素受体阴性乳腺癌为966例(37.6%)。激素受体阳性BRCA变异携带者较激素受体阴性患者的远端复发比例更高(13.1%vs 9.6%,P<0.05),继发乳腺恶性肿瘤比例更低(9.1%vs 14.7%,P<0.001)。二者在局部复发、继发非乳腺恶性肿瘤方面无显著差异。激素受体阳性BRCA变异携带者在确诊后的3年内DFS事件风险增加,3-10年保持稳定;而激素受体阴性BRCA变异携带者则在确诊2年内DFS事件风险增高,3-4年逐渐下降,随后缓慢增加,至第8年与激素受体阳性患者相当(图1)。
 
图1.对激素受体阳性/阴性患者DFS事件予以Epanechnikov kernel-smoothed年度复发风险比分析
 
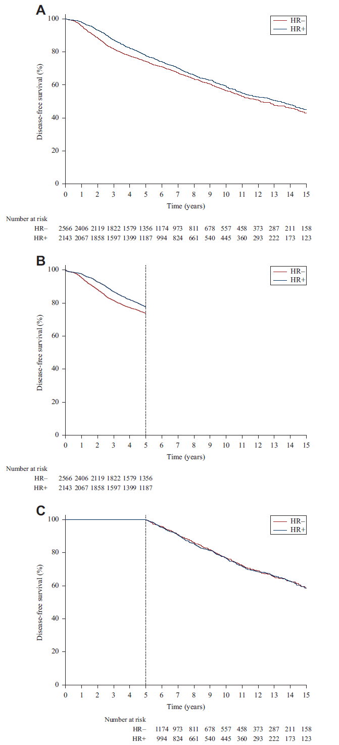
激素受体阳性患者8年DFS率为65.8%,激素阴性患者为63.4%(图2A)。在确诊乳腺癌的前5年内,激素受体阳性患者的DFS更好,调整后的HR(aHR)为0.77,95%CI 0.65-0.91(图2B);在5年以后二者未见显著差异,aHR为0.91,95%CI 0.75-1.12(图2C)。
 
图2.激素受体阳性/阴性患者DFS
 
激素受体阳性患者8年BCSS率为88.9%,激素受体阴性患者为87.8%。前5年激素受体阳性患者BCSS较好,aHR=0.65,95%CI 0.47-0.89;5年后未见显著性差异,aHR=1.22,95%CI 0.88-1.68。激素受体阳性患者8年OS率为88.1%,激素受体阴性患者为87.1%。前5年激素受体阳性患者OS更好aHR=0.66,95%CI 0.48-0.89;5年后同样未见显著差异,aHR=1.12,95%CI 0.82-1.51。可见激素受体阳性与阴性相比,DFS、BCSS、OS随时间变化,且与激素受体状态存在相互作用。
 
在基于BRCA基因亚型的进一步分析中,激素受体状态对携带BRCA1变异患者的预后影响差异很小;而在携带BRCA2变异患者中,激素受体阳性患者较阴性患者在前5年预后加好,5年以后预后较差。将ER和/或PgR表达的临界值由10%调降为1%,仅纳入HER2阴性患者分析发现其主要结果与总体人群结果一致。
 
根据肿瘤亚型分析
 
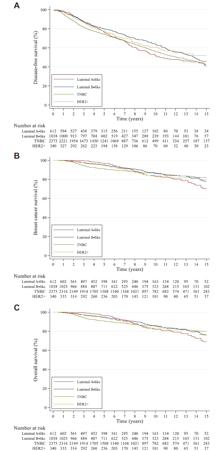
在符合本条件的4363例携带BRCA变异的年轻乳腺癌患者中,612例(14.0%)为Luminal A型、1038例(23.8%)为Luminal B型、2373例(54.4%)为三阴性(TNBC)、340例(7.8%)为HER2阳性。其中TNBC患者最为年轻,确诊时T1较少、淋巴结受累较少,但具有更高的携带BRCA1变异比例;Luminal A患者中90.8%为肿瘤2级,53.3%为T1,76.8%携带BRCA2变异,75.0%接受过化疗;Luminal B患者中89.2%为肿瘤3级,38.8%为T1,56.8%携带BRCA2变异,93.2%接好过化疗。
 
在Luminal A、Luminal B、TNBC、HER2阳性患者人群中,DFS事件依次为211(34.5%)例,332(32.0%)例,890(37.5%)例、112(32.9%)例;8年DFS率依次为60.8%、69.7%、63.5%、65.5%(图3A);8年BCSS率依次为88.7%、90.5%、87.8%、87.6%(图3B);8年OS率依次为87.8%、90.1%、87.0%、87.2%(图3C)。
 
图3.根据乳腺癌亚型分析患者预后
 
此项研究是目前全球范围内针对携带BRCA变异年轻乳腺癌患者的最大规模研究,为激素受体状态及乳腺癌亚型对预后的评估价值提供了参考依据。在普通人群中,激素受体阳性往往被认为是预后良好的预测因素,虽然在确诊2-3年回出现复发高峰,但在后续复发风险在确诊20年内几乎不变。然而此项研究提示,对于携带BRCA变异的年轻乳腺癌患者,激素受体阳性似乎并非预后良好的预测因素,显示出了较激素受体阴性人群更强的侵袭性。
 
从此项研究的数据来看,激素受体阳性人群较阴性人群8年DFS率差异仅升高了2.4%。激素受体阳性人群的复发风险在前5年低于激素受体阴性人群,随后未见差异。激素受体阴性患者在超过5年的长期随访中,患者复发风险进行性地增加,可能与其晚期继发的乳腺/非乳腺恶性肿瘤相关。继发性或对侧性乳腺癌风险较高也正是携带BRCA1变异的激素受体阴性乳腺癌的主要特征之一。在OS方面,8年随访中激素受体阳性和阴性患者表现类似,但之后阳性患者的表现更差,从而反映了携带BRCA变异的激素受体阳性患者OS事件较激素受体阳性全人群患者更早到来,提示对于此类患者可以应用升阶梯方案来降低复发风险。
 
在乳腺癌全人群中,Luminal A型患者往往较其他亚型侵袭性更低、预后更好。在本研究中却发现,携带BRCA变异的Luminal A型人群与其他亚型人群在DFS方面并无显著优势。该结果可能引起临床对此类特定人群预后的担忧,并加强对BRCA变异的关注。假如进一步的研究确证了携带BRCA突变Luminal型患者具有更强的侵袭性,那么在此类患者中予以基因检测,并指导临床实施更强化的治疗方案可能是值得的。
 
该研究的数据跨越20年之久,在不同地域、不同诊疗中心存在不同的疾病特征与治疗方案,且相关检测和疗效评估均由当地诊疗机构实施,因此可能存在诸多不足之处。但该研究数据的公布仍为临床提供了宝贵的诊疗警示,尤其对于携带BRCA变异的年轻乳腺癌患者,激素受体阳性并不一定代表更好的预后。通过充分了解该患者群体疾病特征及诊疗需求,并针对性的实施强化治疗方法,极有可能降低患者的复发风险,从而满足患者的治疗需求。
 
*本材料由阿斯利康提供,仅供医疗卫生专业人士参考
审批编号CN-143268
有效期:2025-9-9
 
文献来源:Arecco L,Bruzzone M,Bas R,et al.Impact of hormone receptor status and tumor subtypes of breast cancer in young BRCA carriers.Ann Oncol.2024;35(9):792-804.doi:10.1016/j.annonc.2024.06.009

 

本内容仅供医学专业人士参考


乳腺癌

分享到: 更多